所有的美國科幻大片的忠實擁躉們無疑都會對DeLorean DMC-12這款車印象深刻。作為回到未來(Back to the Future)三部曲裡的時光機,這款車總有著令人心馳神往的非凡魔力。而在2015年10月21日,這個電影裡Marty Mcfly 和Doc Brown走向未來的日子,斯坦福大學Chris Gerdes教授和他的學生團隊所打造的輪胎終結者(Tire-slaying)-DeLorean迎來了他的首試,他們把它取名為MARTY-用於偏航控制的多功能執行器研究試驗檯的縮寫。與普通的DMC-12不同的是,MARTY一輛靠電力驅動,並且可以自動行駛的漂移戰車。
圖1 Marty
動力學模型:
漂移技術是是這個星球上最優秀的駕駛員們所發明的一種藝術行為。從車輛動力學角度來講,漂移的實質車輛自身擁有一個數值相對較大的側偏角 (Slip angle)-即實際車頭指向位置與車輛行駛軌跡圈切線的夾角。這意味著車輛在一定程度上是“側向轉彎”。
圖二 側偏角示意圖
從漂移的產生原理上來講,漂移意味著車輛後輪率先到達側向力(Lateral force)的極限,或者說是後輪側向力飽和(Rear tire saturation)。反之,如果前輪的側向力先達到極限,就是我們常說的轉向不足(Understeering)。漂移的本質,是車輛處於轉向過度(Oversteering)情況下的一種穩態(Steady-State)工況。以反向的轉向角(Countersteer)和大側偏角(Slip angle)為主要特徵。這也正是Marty的自動駕駛漂移控制器的控制目標。
建立控制器設計所依據的動力學模型是首要工作。Matry的設計團隊以三座標的單軌車輛模型(Three-state bicycle model)作為控制器的動力學依據。車輛模型當中共有三個狀態變數:橫擺角速度(r)、縱向速度(Ux)和基於質心(CG)的側偏角(β)。模型的輸入變數為轉向角(δ)和後輪驅動力(FxR)
考慮到路面摩擦係數的不確定性,轉向角(δ)實際上有最大為實際值8.6%的誤差。
輪胎模型基於圖3中的三組公式,其中Cα是輪胎轉彎剛度,Fz是施加到輪胎的正常載荷,α是輪胎滑移角(Uy,r和Ux的函式),l是輪胎與地面之間的摩擦係數
圖5為摩擦圓的重建公式。其表示在輪胎處產生的縱向力和側向力不能超過輪胎在摩擦時可用的總力。三座標單軌車輛動力學模型忽略了漂移過程中載荷在軸向上的轉移,與此同時,由於測試車輛為後輪驅動,因此前輪的驅動力也為零。
控制理論:
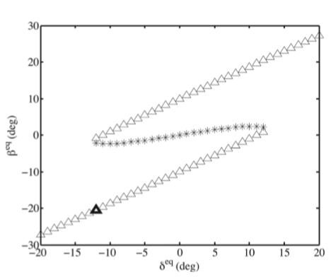
根據漂移產生的原理,控制器在這項工作中的主要控制目標是穩定到所需的(恆定)側偏角。次要目標是圍繞期望值控制車輛的縱向速度。而對於側偏角的控制,實際上是透過控制轉向角和後輪驅動力來實現的。控制轉向角,其實間接的控制了車輛後輪的側向力。因此,在飄移平衡中控制後輪胎力的能力是此次工作的核心。理想的對於車輛側偏角和轉向角的控制結果,是實現圖7中的▲所處於的穩態位置。
控制器架構:
外環設計透過期望的橫擺角速度(Yaw rate)來實現對於側偏角的控制。平衡狀態下的橫擺角速度的反饋輸入為側偏角的比例反饋(Proportional feedback)。在左轉漂移的情況下,此時橫擺角速度r>0大於零,側偏角β<0,當出現側偏角偏差e<0de 情況時,就意味著轉向過度的程度偏大,即側偏角過大,此時,可以透過調節轉向角來減小後輪的側向力,使其恢復到穩態狀態。在內環的控制迴路設計中,控制器透過側向力來控制橫擺角速度的誤差,使系統保持在穩定狀態。
Marty透過控制器對線控轉向系統下達轉向命令實現對轉向角進行控制,期望的後輪驅動力透過控制器對動力電機的扭矩控制實現。在扭矩的控制模型當中,忽略了由於動力傳動系統和輪胎動力學所引起的延遲,但是這部分相對於整車來說是數值較小的,因為其主要取決於後輪以及傳動系統的慣性力。而車輛側偏角、橫擺角速度和縱向速度資料的利用GPS和慣性導航(Inertial navigation system)協同獲取。
Marty在10月21號的成功演出,意味著自動駕駛漂移技術成功落地。這一過程,實際上植根於透過對三態模型分析所揭示出漂移本質:漂移代表了車輛穩定性的權衡,並大幅增加車輛的可控性。從更深遠的角度來看,在摩擦力複雜多變的道路情況下,Matry依然可以透過漂移有效的控制車輛的運動軌跡,這為一種新的車輛安全系統的誕生提供了可能。同時也意味著,由賽車手所掌握的高階駕駛技巧,自動駕駛也可以實現。
參考文獻:
[1] Voser, C., Hindiyeh, R., and Gerdes, J., 2010, “Analysis and Control of High Sideslip Manoeuvres,” Veh. Syst. Dyn., 48, pp. 317–336.
[2] Rami Y. Hindiyeh, J. Christian Gerdes, “A Controller Framework for Autonomous Drifting: Design, Stability, and Experimental Validatio,” Journal of Dynamic Systems, Measurement, and Control, SEPTEMBER 2014, Vol. 136 / 051015-1
[3] Edelmann, J., Plochl, M., Lugner, P., Mack, W., and Falkner, A., 2008, “Investigations on the Powerslide of Automobiles,” AVEC 2008, Kobe, Japan, Oct. 6–9.]
[4] Velenis, E., Katzourakis, D., Frazzoli, E., Tsiotras, P., and Happee, R., 2010, “Stabilization of Steady-State Drifting for a RWD Vehicle,” AVEC 2010, Loughborough, UK, Aug. 22–26.
