【能源人都在看,點選右上角加'關注'】
利用自主研發的二次炭化熱壓型煤成型試驗裝置製備了250、300、350和400℃四種炭化溫度的二次炭化型煤試件並開展了相關試驗研究,分析了不同炭化溫度條件下二次炭化型煤吸附特性特徵及其孔隙發育演化規律,指出了二次炭化型煤成型的相對最佳條件,對最佳化二次炭化型煤成型條件和為煤層氣物理模擬試驗相似材料的製備提供了借鑑意義。
作者簡介
重慶大學 教授
許江(1960—),男,湖南永興人,研究員,博士生導師,重慶市安全技術與工程學術技術帶頭人、重慶大學安全科學與工程一級博士學位授權點始建學術帶頭人等。兼任中國岩石力學與工程學會測試專業委員會副主任委員、中國職業安全健康協會瓦斯災害防治與利用專業委員會專家諮詢工作組副主任委員以及《重慶大學學報(自然科學版)》、《煤炭科學技術》和《地下空間與工程學報》等學術刊物的編委等職。
主要成果:
主持或參與完成來自國家、省市部委或工程現場的科研專案50餘項,先後獲國家、部委或省市的科技獎項近20項,出版學術著作10餘部,獲權或申請發明專利100餘項,在國內外學術刊物或學術研討會上發表學術論文400餘篇,其中SCI、EI檢索150餘篇,培養博士研究生20餘人和碩士研究生近100人。長期致力於岩石力學基礎理論與測試技術、工程巖體穩定性分析與評價、礦山動力災害發生機制與控制理論、山地地質災害發生機理與監測預警等方面的教學與科研工作。
研究方向:
主要從事有關岩石力學理論與試驗、煤礦動力災害發生機理與控制理論、山地地質災害演繹規律與監測預警等方面的研究以及相關分析測試儀器裝置的自主研發。
作 者
許江1,2,蔡果良1,2,彭守建1,2,甘青青1,2,王瑞芳1,2
單 位
1.重慶大學 煤礦災害動力學與控制國家重點實驗室;2. 重慶大學 複雜煤氣層瓦斯抽採國家地方聯合工程實驗室
摘 要
利用自主研發的二次炭化熱壓型煤成型試驗裝置,在炭化溫度分別為250、300、350 和400℃條件下製備了二次炭化型煤試件,採用掃描電鏡、核磁共振、比表面和孔徑分佈分析儀對熱壓型煤進行了測試分析,研究炭化溫度對熱壓型煤吸附特性、孔隙發育及微觀結構的影響。結果表明:隨著炭化溫度的升高,二次炭化型煤的水分逐漸降低,灰分和固定碳含量逐漸升高,揮發分先升高後降低,密度先增大後減小;煤樣在熱解過程中會形成膠狀物質並均勻分佈在煤粒表面,並固化填充煤粉顆粒間隙,隨著溫度的進一步升高,煤樣表面由光滑完整的層狀結構轉變為碎塊結構;原煤中小孔佔比最多,隨著溫度的升高二次炭化型煤小孔佔比呈現先增加後減少的趨勢,中大孔佔比呈現先減少後增加的趨勢;在300℃條件下的二次炭化型煤與原煤試件都以吸附孔為主,且孔隙之間連通性較差,隨著溫度繼續升高後,二次炭化型煤以滲流孔為主,吸附孔相對減少;原煤試樣和二次炭化型煤的等溫吸附線符合IV型等溫吸附線,原煤和二次炭化型煤的各孔徑段比表面積分佈較均勻,都呈單峰分佈,隨著炭化溫度的升高,二次炭化型煤的比表面積呈現出先增大後減小的趨勢,平均孔徑呈現出先減小後增大的趨勢,最大吸附量呈現先增加後減少的趨勢。
研究背景
能源是國家繁榮昌盛和經濟可持續發展的基礎,我國是一個富含煤層氣資源的國家。抽採煤層氣是重大的技術難題,由於大部分原煤質地疏鬆,煤層受節理裂隙切割等原因,很難製成滿足試驗要求的試件,即使製成了樣品,也是煤層中的個別硬塊樣,不具典型性、代表性和完備性,不能真實全面地表徵實際的煤層特徵,故目前實驗室多采用型煤代替原煤進行煤層氣物理模擬試驗的研究。
目前,在型煤製備成型方面,國內外學者多采用不同煤粉粒徑與不同黏結劑組合在一定壓力下直接壓制成型。吉登高等進行了原料粒度組成對型煤質量的影響規律研究;趙巍等研究了黏結劑加入量的變化對型煤試樣常溫強度、高溫強度和熱穩定性的影響趨勢;許江研究了不同粒徑對型煤的孔隙大小、分佈的影響;YOUNG等研究了影響型煤強度和耐水性的重要因素;硃紅龍等利用有機類黏結劑和無機類黏結劑來研究黏結劑摻比和配煤比對型煤質量的影響;張金山等利用鈉基膨潤土為黏結劑製備型煤進行了型煤成型機理的研究。直接壓制成型的型煤煤樣能夠大致模擬原煤的相關特性,但其吸附特性、孔隙發育等與原煤之間差距較大。
因此選用合適的型煤模擬原煤進行相關試驗十分重要。周世寧對型煤進行了相關研究,指出透過高溫高壓成型的型煤比常溫下成型的型煤的力學強度更高,與原煤相似性更高,其可能發展為理想的原煤相似材料。郭雲飛透過設定不同炭化溫度對炭化型煤的成型工藝進行了研究;BAYRAKTA等在不新增黏結劑下,經900℃ 左右炭化獲得了型焦;杜永常進行了成型壓力對型煤孔隙率等特性的研究;楊永斌等利用煤瀝青為黏結劑,進行了不同炭化條件下型煤的力學性質研究;馬名傑等進行了成型壓力為35Mpa,炭化升溫速度為2℃/min條件下型煤的力學性質研究。
1 試驗與方法
1.1 型煤的製備
利用自主研發的二次炭化熱壓型煤成型試驗裝置製備型煤試件。如圖1所示,該裝置由碳鋼密封爐體、200kN 自動控制壓力試驗機、真空系統、氣氛保護系統、水冷系統、加熱控制系統、壓力機控制系統、安全系統等組成,可實現真空環境下充入惰性保護氣體對模具中的試件進行加溫加壓。
部分原煤及二次炭化型煤試件如圖2所示。
圖1 型煤炭化試驗裝置
1.2 SEM電鏡試驗1.3 核磁共振試驗1.4 低溫液氮吸附測試
2 試驗結果與分析
2.1 煤樣基礎引數
表2 原煤及二次炭化型煤試件工業分析及密度
掃描電鏡可以分析煤樣表面形貌的演化。原煤和不同炭化溫度條件下二次炭化型煤的2000倍掃描電鏡影象如圖3所示。
2.3 核磁共振試驗分析
2.3.1 孔隙結構表徵
核磁共振試驗是透過對水中1H的核磁訊號進行檢測,從而得到儲存在煤樣孔隙裂隙中水的橫向弛豫時間T2譜,用於分析煤樣的滲流和物性特徵。根據核磁共振T2譜原理,橫向弛豫時間T2用於表示孔徑的大小,因此孔隙半徑越大橫向弛豫時間越長,而孔隙半徑越小橫向弛豫時間越短,不同孔隙大小對應不同的橫向弛豫時間。原煤和不同炭化溫度條件下二次炭化型煤的橫向弛豫T2譜如圖4所示。
2.3.2 孔徑分佈
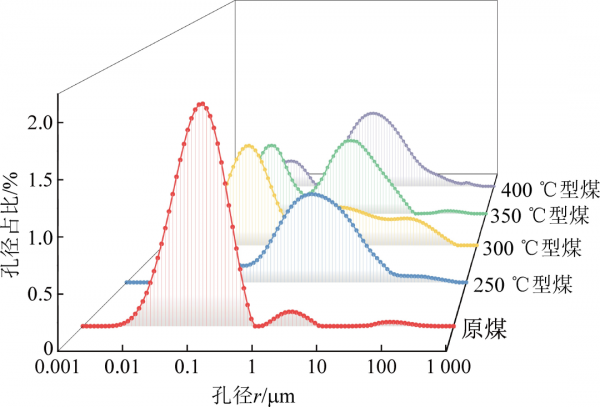
姚豔斌等基於核磁原理,定義孔裂隙直徑小於0.1μm 的為吸附孔隙,孔裂隙直徑大於0.1μm的為滲流孔隙。楊明等指出峰與峰之間若存在孔徑分佈為零的存在,說明其對應孔隙之間連通性不好,且零值對應的弛豫時間差越大,其連通性越差。原煤和不同炭化溫度條件下二次炭化型煤的孔徑分佈測量結果如圖5所示。
2.3.4 低溫液氮吸附
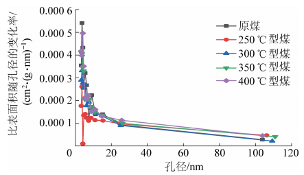
液氮吸附法是透過在液氮溫度下利用樣品對液氮的吸附特性來獲得固體孔隙的相關引數。國際純化學和應用化學聯合會(IUPAC) 基於物理吸附等溫線的形態將等溫吸附曲線分為6種類型。原煤和不同炭化溫度條件下二次炭化型煤的低溫液氮吸附等溫線如圖6所示,原煤和不同炭化溫度條件下二次炭化型煤的孔 比表面積隨孔徑變化如圖7所示。
表3列出了5種煤樣孔隙結構引數,包括比表面積、總孔隙體積、平均孔徑和最大氮吸附容量特徵。
表 3 原煤及二次炭化型煤的孔結構引數
![]()
綜上所述,透過試驗研究,300℃ 條件下二次炭化型煤表現出與原煤較為接近的吸附特性和孔結構組成,此條件下腐植酸鈉黏結劑具有較優的粘結作用,二次炭化型煤發生炭化反應,在二次炭化型煤製備方面,建議設定炭化溫度為300℃ 進行型煤的製備。另一方面,根據試驗結果,300 ℃ 以下的二次炭化型煤因少部分發生炭化反應,表現為中大孔發育,最大氮吸附量較少,300℃ 以上的試件則由於較高的溫度,導致黏結劑失去效果且煤樣固化收縮,使得較高溫度條件下二次炭化型煤表現出以滲流孔為主,最大氮吸附量與原煤相差較大,因此後續研究應在 300 ℃左右縮小溫度區間來進行炭化條件的進一步最佳化。
結論與展望
1)隨著炭化溫度的升高,二次炭化型煤的水分逐漸降低,灰分和固定碳含量逐漸升高,揮發分先升高後降低,密度先增大後減小,在炭化溫度為 300℃條件下時,二次炭化型煤的密度與原煤密度較為接近。
2) 二 次 炭 化 型 煤 的 表 面 形 貌 與 原 煤 不 同。300℃時煤樣表面形成膠狀物質且均勻分佈在煤粒表面,並固化填充煤粉顆粒間隙,煤樣表面呈現光滑完整的層狀結構,隨著溫度的進一步升高,煤樣表面呈現碎塊結構。
3)原煤試件小孔佔比最多,隨著炭化溫度的升高,二次炭化型煤小孔佔比呈現先增加後減少的趨勢,中大孔佔比呈現先減少後增加的趨勢,在炭化溫度為 300℃時,二次炭化型煤試件的小孔佔比最多。原煤和300℃條件下的二次炭化型煤均以吸附孔為主,且孔隙之間連通性較差,隨著炭化溫度的繼續升高,二次炭化型煤則以滲流孔為主,吸附孔相對減少。
4)原煤和二次炭化型煤的等溫吸附線符合Ⅳ型等溫吸附線,且均出現吸附滯後現象。原煤和二次炭化型煤具有相似的孔徑分佈,均呈單峰分佈,峰值主要集中在 2~3nm。原煤的比表面積大於二次炭化型煤的比表面積,其總孔隙體積和平均孔徑與二次炭化型煤接近。300℃條件下二次炭化型煤的比表面積和最大氮吸附量與原煤最為接近。
引用格式
許江,蔡果良,彭守建,等.溫度對二次炭化型煤吸附特性及孔結構影響的研究[J].煤炭科學技術,2021,49(11):21-29.
XU Jiang,CAI Guoliang,PENG Shoujian,et al.Effect of carbonization temperature on adsorption characteristics and pore structure of secondary carbonized coal briquette specimens[J].Coal Science and Technology,2021,49(11):21-29.
免責宣告:以上內容轉載自傳煤,所發內容不代表本平臺立場。
全國能源資訊平臺聯絡電話:010-65367702,郵箱:[email protected],地址:北京市朝陽區金臺西路2號人民日報社
