單晶LiNi0.6Co0.2Mn0.2O2正極材料因其高放電容量和良好的電化學效能而受到廣泛關注,然而,單晶材料在高壓下迴圈會發生嚴重的晶格畸變和電極/電解質介面副反應,影響材料的效能。
中南大學唐有根教授團隊透過一種簡單的方法構建了一種獨特的單晶LiNi0.6Co0.2Mn0.2O2,其在材料結構內部摻雜Al和Zr,並且在表面形成一層自形成的Li2ZrO3包覆層。摻雜後的正極材料在室溫/高溫下具有優異的結構穩定性和迴圈效能,表徵結果和第一性原理計算表明,優異的電化學效能歸因於穩定的結構和介面,其中Al和Zr共摻雜阻礙陽離子混合,抑制有害的相變,以降低內應力和減輕微裂紋產生,Li2ZrO3包覆層可以保護表面,抑制介面副反應。總的來說,這項工作為如何透過簡單的製備方法同時為單晶NCM正極構建穩定的結構和介面提供了重要見解。相關成果以“Dual-Element-Modified Single-Crystal LiNi0.6Co0.2Mn0.2O2 as a Highly Stable Cathode for Lithium-Ion Batteries”發表在ACS Applied Materials & Interfaces上。
原文連結:
https://doi.org/10.1021/acsami.1c10799
為了滿足日益增長的高能量密度鋰離子電池的需求,迫切需要具有優異放電容量和良好穩定性的先進正極材料,其中,富鎳三元正極材料,如LiNi0.6Co0.2Mn0.2O2(NCM),由於其高比容量、良好的電化學效能和環境友好性,被認為是理想的正極材料。
目前,研究最多、應用最廣泛的NCM材料是由小晶粒晶體凝聚形成的二次球形多晶顆粒。然而,原始顆粒中晶界的存在限制了Li+的傳輸動力學,使得NCM難以充分發揮其高體積能量密度的優勢。此外,在充放電過程中會發生一系列相變,導致嚴重的晶格畸變和微裂紋的形成。微裂紋是容量衰減的主要因素,將導致化學介面發生重大變化,如微裂紋的形成可能會破壞最初形成的固態電解質介面膜,導致暴露更多的活性材料,從而進一步加速介面副反應。
亞微米級的單晶NCM可以很好地避免多晶顆粒的上述問題。單晶顆粒由於其均勻的應力分佈和優異的結構穩定性,可以有效地緩解微裂紋的形成並保持結構完整性。然而,單晶材料的高比表面積使電極/電解質介面處存在嚴重的副反應,導致低庫侖效率和高鎳溶解到有機電解質中。由於Li+和Ni2+具有相似的半徑,在多晶顆粒和單晶顆粒中都會發生陽離子混合現象,這將導致結構相變和不可逆惰性相的形成。雖然已經報道了一些透過雙元素摻雜改善多晶三元材料結構穩定性的優秀開創性工作,但它們對單晶三元材料的影響仍需進一步驗證,考慮到單晶和多晶三元正極材料之間的差異,例如褪色機理、粒子介面之間的Li+擴散等,雙元素摻雜的工作機理也需要更深入的理解。此外,利用雙原子對單晶NCM正極的前驅體進行修飾,同時透過單摻雜工藝獲得具有均勻晶格摻雜和表面包覆的富鎳正極材料的報道較少。
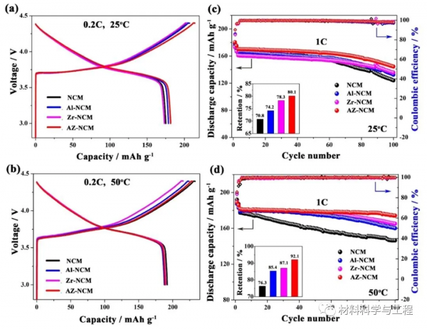
在這項研究中,作者使用Al和Zr作為共摻雜劑,採用一步法成功製備了Al−Zr共摻雜單晶LiNi0.6Co0.2Mn0.2O2(AZ-NCM)正極材料,深入研究了不同元素摻雜對其結構和電化學效能的影響。經驗證,Al和Zr可以均勻地摻雜在材料內部中,而部分Zr可以從內部遷移到表面,形成包覆層。因此,與其他樣品相比,最佳化後的AZ-NCM表現出最佳的電化學效能,即使在50℃下迴圈100周後,其放電容量仍有174mAh/g,容量保持率為92.1%,遠高於未摻雜樣品的容量保持率(76.3%)。實驗分析和DFT計算表明,雙元素摻雜可以透過提高晶格氧原子的穩定性和抑制Li/Ni交換來構建更穩定的結構,同時,Li2ZrO3包覆層可以防止電解質的腐蝕,保護材料的介面,從而顯著改善電化學效能。這項工作提供了一種簡單的一步摻雜方法,可以同時調節材料的結構和介面,從而大大提高了單晶富鎳正極的電化學效能。(文:李澍)
圖1 NCM和Al/Zr-LiNi0.6Co0.2Mn0.2O2(AZ-NCM)顆粒的XRD圖譜
圖2 NCM和Al/Zr-LiNi0.6Co0.2Mn0.2O2(AZ-NCM)的SEM圖
圖3 NCM和Al/Zr-LiNi0.6Co0.2Mn0.2O2(AZ-NCM)的TEM圖
圖4 NCM和Al/Zr-LiNi0.6Co0.2Mn0.2O2(AZ-NCM)的結構模型和理論計算
圖5 不同溫度下材料的首周充放電曲線和迴圈效能
圖6 NCM和Al/Zr-LiNi0.6Co0.2Mn0.2O2(AZ-NCM)的倍率效能和dQ/dV曲線
圖7 NCM和AZ-NCM迴圈100周後的SEM和TEM圖
圖8 NCM和AZ-NCM電極的電化學效能、Al−Zr共摻雜的機理圖解
本文來自微信公眾號“材料科學與工程”。歡迎轉載請聯絡,未經許可謝絕轉載至其他網站。
