你為什麼要保持這個姿勢騎行,如果你答不上來,直接一句“根據空氣動力學原理”似乎可以解決大部分問題。空氣動力學是如何影響騎行者的,來看下國外的研究。
當腳踏車及其騎手在道路上行駛時,空氣施加的力會隨著速度的增加而急劇增加。該力是由於空氣與騎手和腳踏車的暴露表面之間的摩擦造成的。
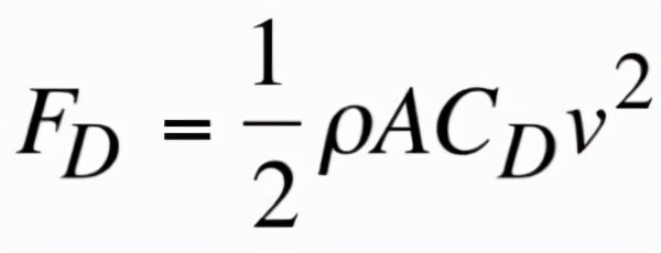
看看空氣阻力的計算公式:(瞭解其中幾個變數就可以)
FD = 阻力,
ρ=空氣的密度
A = 騎腳踏車者的正面區域
C D = 阻力系數
V = 速度
FD就是我們騎行過程中要克服的空氣阻力。
ρ隨著海拔的增加,空氣密度越小,ρ的值越小,阻力就越小,所以在高海拔地區騎行要克服的阻力更小(前提是其他條件相同)。
CD阻力系數將取決於多種因素,例如腳踏車和腳踏車手的速度和表面粗糙度,需要直接測量。
A表示騎行者正面騎行時候的面積,很明顯面積越小阻力越小。
V是騎腳踏車者速度。速度是平方的,這意味著速度快兩倍的騎行者需要克服四倍的阻力。
一個很經典的實驗,三個人以三種姿勢騎行(如上圖),得出的結果第二種第三種騎行姿勢的阻力分別降低了 14% 和 32%。當然第三種姿勢由於身子過低,踩踏起來也更困難,所以一般在下坡中被用到。
如何才能更符合空氣動力學的騎行?
1. 給自己買一輛空氣動力腳踏車
騎腳踏車時減少阻力的最佳方法之一是為自己準備一輛設計精良的符合空氣動力學的腳踏車。腳踏車佔騎車人總阻力的 30-40%。
專門設計的“氣動”腳踏車可為騎車人提供可觀的減阻效果。例如,與非空氣動力學改裝的腳踏車相比,Cannondale 的 SystemSix 在 40K 計時賽中節省了 2 分鐘時間。一些研究發現,最好的選擇是 60 毫米到 90 毫米的輪輞深度。
2. 空氣動力學騎行頭盔也有幫助
騎腳踏車者可以減少空氣阻力的另一種方法是使用空氣動力學設計的頭盔。這些是流線型的後向頭盔,您之前可能在競技腳踏車賽中見過。
航空頭盔在減少阻力方面非常出色,但通常“頭感”不是很好。由於頭盔後部的“擾流板”,當騎腳踏車的人向下看時,它們也往往像一張大帆。
3. 騎腳踏車者甚至可以穿符合空氣動力學設計的衣服
騎腳踏車者可以減少阻力的另一種方法是透過專門設計的衣服。全身緊身衣,類似於田徑短跑運動員所穿的緊身衣,可以幫助騎腳踏車的人在高速騎行時節省大量精力和時間。
在某些情況下,這種服裝可以減少多達 10% 的阻力。一些現代改進包括一種叫做渦流發生器的東西,它是一系列位於重要位置的小翅膀,如肩膀、上臂和肘部,以及大腿。當空氣流過騎車人的身體時,這些微小的翅膀有助於混合空氣,並使其更靠近身體以減少阻力。(當然在專業的比賽中這些事被禁止的,環法比賽規則規定“禁止穿著非必要的衣服或旨在影響騎手錶現的物品,例如減少空氣阻力或改變騎手的身體的服裝”)
4.騎行姿勢是減少腳踏車阻力的最佳方式之一
相對於腳踏車而言,騎手才是空氣阻力的最大因素,透過在騎車時降低您的姿勢,可以大大減少阻力。
有一個減阻的“最佳點”,就是將你的手放在車頭上,雙臂彎曲,前臂與地面平行。與經典騎行姿勢相比,這種姿勢可減少約 13-14% 的阻力。
