中國青年網北京12月26日電 鐘慢尺縮並不矛盾?狹義相對論效應真的存在?12月24日12時,《張朝陽的物理課》第十四期開播。搜狐創始人、董事局主席兼CEO張朝陽坐鎮搜狐影片直播間,複習了相對論的基本假定、洛倫茲變換等,推導了速度變換公式,並由動量守恆推得質量與速度的關係,進而得到質量與能量的關係。他引導大家從洛倫茲變換出發,探討“時間膨脹”和“長度收縮”效應,並以μ子可以穿越大氣層到達地面的自然現象作為觀測例項進行詳細分析。
回顧狹義相對論的誕生和愛因斯坦的兩個假定
“今天我們繼續講相對論。”張朝陽在直播間寫下“狹義相對論的一些應用案例”,帶著網友回顧相對論的基本假定。
19世紀,伽利略變換是被大家普遍認可的,也就是符合生活直覺的、慣性參照系的速度疊加規律。而從麥克斯韋給出的波動方程看,又似乎暗示著絕對的光速。於是當時的一些學者假想了一種特殊的介質即以太,來解釋與光速相關的現象。然而,著名的邁克爾遜-莫雷實驗卻從根本上否定了以太的存在。時間與空間在不同參考系下究竟是怎樣的變換關係呢?人們必須重新思考這一問題,以建立符合實驗事實的時空觀。
“愛因斯坦革命性地做了兩個假定,一個是相對性,沒有絕對的參照系,沒有絕對的時空。在所有的慣性參照系裡,所有的物理規律都適用。一個是光速不變,在所有參照系裡都不變,光速最大。”張朝陽指出,光速是有限的,所以狹義相對論並不挑戰因果律。不同參考系中先後發生的事件,其傳播也是需要時間的,因為其最大傳播速度為光速,約3×108 m/s。
從洛倫茲變換出發推導質速關係和質能方程
洛倫茲變換是狹義相對論中兩個作相對勻速運動的慣性參考系S和S′之間的座標變換,是觀測者在不同慣性參考系之間對物理量進行測量時所需進行的轉換關係。
若S系的座標軸為x、y和z,S′系的座標軸為x′、y′和z′。為簡單起見,令兩參考系對應方向的座標軸分別平行,且t=t′= 0 時兩座標系的原點互相重合。S′系相對於S系以恆定速度u沿x軸的正方向運動。那麼,同一個物理事件在S系和S′系中的時空座標應由洛倫茲變換,也即下列關係式相聯絡:

    “在所有的慣性參照系裡,所有的物理規律都適用”,因此,可以透過動量守恆得到質量與速度的關係。動量是質量與速度的乘積,即p = mv。需要注意的是,與經典力學不同,這裡的質量m已是變數,且是速度v的函式。考慮到物體動量對時間的變化率等於其所受力的大小,即F = dp/dt;而能量對時間的變化率等於力乘以速度,即dE/dt = Fv,最終可推匯出質能關係E = mc2=γm0c2,這裡的m0是物體的靜質量。
張朝陽還提到,相對論普遍成立。它是對之前的物理規律的進一步拓展和延伸,在日常低速場景下,與經典理論並不衝突。相對論的一系列公式,不僅可以很好地描述高速運動的物體,而且在物體低速運動,也即v<<c時,可以經過化簡和近似,迴歸到經典力學的形式。以能量為例:

    在這個近似式中,保留了泰勒級數展開的前2項,而後面各項作為小量可忽略。可以看到,這裡展開式的第2項,正是經典力學中的動能。
μ子的現象驗證了尺縮效應 證明狹義相對論效應存在
張朝陽以μ子穿過大氣層到達地面為例,來論證“尺縮鐘慢”效應的現實存在。
天然μ子形成於大氣層的高處,由宇宙射線與地球大氣作用產生,它是一種不穩定的粒子,其半衰期τ極短,約為1.5微秒。其粒子數目隨時間指數衰減,
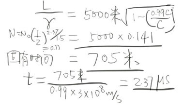
如果不考慮相對論效應,即使是以0.99c高速運動的μ子,它穿透5000米厚的大氣層依然需要16微秒的時間,從而到達地面時僅剩不到初始數目的1/2000。但是實際測量到的粒子比例遠遠大於這個計算值。

    ,因此,在μ子所在的座標系裡,依據尺縮效應,大氣層的厚度明顯縮減,應為L/γ=5000×0.141≈705米,其穿越大氣層的時間也大大縮減,成為2.37微秒,這樣得到的衰變後的剩餘粒子比例為(1/2)2.37/1.5≈0.33,即有約1/3的μ子可以穿越大氣層後依然被探測到,這與實際測量結果是相符的,成為相對論效應的實驗證據之一。
上面的例子,還可以從另一個角度來理解,就是在地面座標系看來,高速運動的μ子,依據鐘慢效應,其壽命大大增加,變為γ倍,而大氣層厚度為L,故它依然有足夠的機率到達地面被探測到。可見,時間膨脹或是尺子縮短,無論從哪個角度分析,得到的結果實際上都是一致的。
隨後,張朝陽還介紹了質能方程E = mc2的例項。同一元素的不同核素互稱為同位素,他們的質子數相同而中子數不同。14C可衰變為14N、電子、中微子。
中微子質量很小可以忽略。比較14C和14N的質量,其差值部分,應當主要為電子的質量。它數值上比電子靜質量m0大了不少,約為1.3 m0,這在經典物理裡是無法理解的。而在相對論裡,這實際上是由於衰變後的電子在高速運動。結合質能關係,以及電子的靜質量m0、原子質量單位u等資料,可以求得電子的速度,約為0.64c,即光速的0.64倍。在這樣的速度下,相對論效應非常明顯,無法忽略。
發力知識直播 傳播知識玩轉科學
自11月5日至今,《張朝陽的物理課》已直播十四期。在第一、二課中,張朝陽科普了“力”和“速度”,算出馬斯克的飛船和中國空間站每日繞地飛行圈數;第三、四課的內容則和“振動”相關,科普了可見光的基本知識,解釋了早中晚的太陽顏色為何不一樣,以及藍色天空的秘密;第五、六課引發了關於音速和溫度的大討論。
在第七、八、九期則重溫經典力學的兩朵烏雲,帶領網友觸控量子力學;第十、十一課則重點回顧黑體輻射曲線及其應用,試圖重回137億年前的宇宙;第十二、十三、十四期則嘗試進入愛因斯坦的思想世界,推匯出著名的公式“E=mc2”,並試圖論證“時間膨脹”和“長度收縮”效應。
觀察生活現象+解釋背後原理+推導演算公式,結合十四期物理課可以看出,《張朝陽的物理課》是從日常現象引入,幫助網友理解現象,提升興趣,再“透過現象看本質”,解釋知識點,推演過程,反過來解決生活中的問題。
在後續課程中,張朝陽還將進一步解釋生活中常見的物理現象。透過網友最熟悉的話題,深入淺出,解釋現象,探尋物質世界的原理。達到專業人士認可,普通人能聽懂的效果,並藉此激發科學學習的熱潮。該課程於每週週五、週日12時在搜狐影片直播。
除《張朝陽的物理課》外,搜狐影片也邀請多位通識教育播主,科普知識,傳遞價值。北京交通大學理學院教師陳徵博士玩起了“奇趣的科學實驗”,走進“光的波粒二象性”;康奈爾大學物理化學博士包坤,化身“包大人玩科學”,教普通人看懂2021年諾貝爾獎;還有天體物理博士劉博洋科普“日全食是怎麼產生的”等。未來,還將有更多知識播主入駐,一起玩轉科學。
來源:中國青年網





 
			 
			 
			 
			 
			 
			 
			 
			 
			 
			 
			 
			 
			