本文由"腦機介面社群"團隊編譯,轉載請聯絡授權
從神經活動中解碼想象運動的運動學的能力對於開發可以幫助行動不便的人的假肢裝置至關重要。當前採用腦電圖(EEG)等無創記錄方法解碼實際和想象的手運動軌跡來控制神經運動假體,通常透過應用多維線性迴歸(mLR)模型來調整神經訊號和肢體運動學這兩種時域訊號。然而還存在很多問題:EEG訊號和特定的慢皮質電位(SCP)是否具有運動神經相關性。是否可以重建近端臂關節即肩膀的軌跡尚未測試,以及解碼效能是否取決於運動速度和/或位置變化。
研究人員使用mLR模型(通常用於運動軌跡預測(MTP))並使用源定位來檢測和比較大腦之間的相互關係,從而預測了7個受試者在兩種運動型別(實際和想象的)的時間序列中在3D空間中的手,肘和肩部軌跡在每個手臂關節實際和想象的動作中啟用的區域。
對於所有的手臂關節和動作型別,SCP對軌跡重建的貢獻最大,並且使用運動學之前的神經訊號將解碼精度達到峰值120-210 ms。研究結果證明了從頭皮腦電圖預測所有手臂關節的3D想象軌跡的可行性,而且還發現在慢速皮質電位中存在與運動相關的神經相關因素。
實驗
研究人員共進行了四次實驗。每一次執行都包含了一組實際的運動和一組想象的運動(圖1(a))。每組由4個子組組成,每個子組由對其中一個目標(T1、T2、T3、T4)的20次連續試驗(運動週期)組成。目標1和目標2相對於穿過軀幹和肩部的水平軸,分別位於肩水平面上形成45度和90度,目標3和目標4相對於與肩對齊的矢狀軸,分別位於肩矢狀平面上45度(圖1(b))。每個子塊的前12秒開始,聲音訊息(V)提示即將到來的目標和試驗型別(如運動影象目標3),隨後是8秒準備時間(P),每個子塊隨後12 s rest (R)時期,而每一塊之後,1分鐘inter-block-interval(IBI)。在休息期間,研究物件被要求閉上眼睛,放鬆,禁止說話。
上圖為實驗設定。
(a)實驗正規化。受試者進行了四次實驗,每一次實驗都由一個實際的運動塊組成(包括四個子塊,每個子塊包括對給定目標的20次試驗),接著是對相同目標的想象運動塊。
(b)目標位置。目標1和目標2相對於穿過軀幹和肩膀的水平軸,分別位於肩平面形成45度和90度,而目標3相對於與肩膀對齊的矢狀軸,位於肩平面之上45度。目標4在肩平面上方放置45度,相對於與肩對齊的矢狀軸,相對於穿過軀幹和肩部的水平軸放置67.5度。home位置(“H”)是粘在椅子右扶手上的泡沫墊。
(c)左側面板代表受試者(#1)在實際運動過程中到每個目標的平均(SD)路徑。右面顯示每個目標的平均(SD)手速度分量。從情節中刪除了暫停時間段(對目標的停頓和在Home處的停頓)。受試者產生了具有鐘形切向速度分佈的大致筆直的點對點路徑。
一次試驗由四個epoch組成,每個epoch持續800毫秒:指向分佈在3D空間的四個目標中的一個,在目標處的暫停時期,返回到home位置(' H ')的運動,以及在home位置的暫停時期。所有的試驗在一個給定的子塊包括指向相同的目標運動。受試者被告知向前和向後的動作都應與800毫秒的聽覺提示同步。對於包含運動想象的實驗,受試者被要求保持手臂在原地靜止,並與聽覺提示同步想象將手臂移向相應的目標,然後回到原地。
為了避免眼球運動,實驗物件被指示將眼睛保持在瞄準目標上,並且在整個子塊中不要跟隨其實際或想象的移動手臂。。透過線下檢視實驗錄製影片和兩個眼電圖通道,驗證所有受試者都遵守了說明。視覺檢查記錄的影片和運動學資料顯示,在運動影象試驗期間沒有手部運動。圖1(c)給出了四個目標在實際運動試驗期間的定型手部路徑及其對應的速度曲線。
資料採集
研究人員在資料採集過程中使用的是64個有源通道g.HIamp80 EEG系統,在1200 Hz下在61個電極和兩個電眼(EOG)通道中記錄了EEG訊號,並測量了所有電極的阻抗。同時研究者使用了擴充套件的International10-20系統並修訂了EEG蒙太奇,以對大腦區域進行更廣泛的對映,從而可能有益於運動產生和想象力的資訊。
研究者為了可以最大程度地降低受試者將運動想象到錯誤目標的風險,使用了塊設計正規化,而不是在每次試驗前都指示受試者想象運動到隨機目標的方法,這樣還能減少眼睛運動(凝視目標)的風險。實驗中使用了偽像抑制程式,但仍會降低訊號質量。重複移動到每個目標可能會導致強烈的運動記憶,即受試者將所有手臂關節的肌肉記憶用於運動想象。此外,由於不同關節的軌跡,動覺記憶可能導致分離的、不同的神經模式的進化,這使得它們得以重建。對於實際和想象的運動,相同的解碼精度模式可以支援此概念。如果確實肌肉記憶能增強想象的軌跡的解碼能力,那麼如何在運動受損的受試者中誘發肌肉記憶還有待研究。
我們用一塊設計範例,而不是指導主題每次試驗前想象一個隨機運動的目標,因為它最小化的風險主體成像運動一個錯誤的目標,減少眼球運動(凝視到目標),降低訊號,儘管應用程式工件拒絕程式[22]。有可能是對每個目標重複的動作導致了強烈的動覺記憶,即受試者使用所有手臂關節的肌肉記憶進行運動表象。此外,由於不同關節的軌跡,動覺記憶可能導致分離的、不同的神經模式的進化,這使得它們得以重建,正如最近在3D空間[55]中解碼目標所顯示的那樣。這一概念是由相同的模式解碼精度的實際和想象的運動。如果肌肉記憶確實能夠增強對想象軌跡的解碼,那麼如何在運動受損的受試者身上誘導肌肉記憶還有待研究。
資料處理與分析
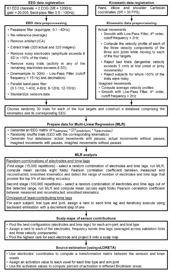
資料處理
研究者對採集的資料先進行了預處理,預處理階段如下:
資料分析
研究人員進行了測試時間延遲對重建實際和想象的手臂關節軌跡的平均(跨受試者)百分比貢獻對比分析。
如下圖在每個頻帶旁邊顯示每個頻帶的最長測試時間延遲(例如,SCPs和低阻)。對於所有的手臂關節和運動型別,以120-210毫秒的SCPs前運動對軌跡重建的貢獻最大。
在時間延遲方面,研究人員分析了電極對軌跡重建的平均百分比。
如下圖,電極對軌跡重建的平均百分比(跨受試者)為- 210 ms、- 150 ms和- 120 ms。顏色程式碼表示百分比的貢獻。在兩種試驗中,額電極和中後電極分別對遠端(手)和近端(肩)手臂關節的重建貢獻最大。有關各個受試者的圖參見補充材料中的圖S2。
下圖為解碼手,肘和肩膀的實際和想象的速度曲線。
(a)對於每個手臂關節和速度分量,想象運動(跨受試者)的平均解碼精度顯著低於對應的實際運動,但兩種試驗型別都表現出相似的解碼效能模式(個體受試者圖,見補充資料中的圖S3和圖S4)。
(b)重建手,肘和肩的實際和想象的速度分量。藍色和紅色曲線分別描繪了兩個代表性物件(實際動作為#5,想象動作為#6)的生成(實際或想象)和重建的速度曲線。
(c)解碼關節速度曲線僅與手的關節最大速度相關。
下圖為手臂關節的速度曲線。
給定目標(如T1) 以及不同目標之間的速度差異會隨著臂近端關節的增加而增加。
結論
研究人員表示,該項研究是首次研究從腦電圖訊號中對所有手臂關節進行實際和想象運動軌跡預測的工作。而且這項工作表明存在神經運動相關的慢皮層電位。重建手臂各關節的運動軌跡可用於運動神經的康復。對所有手臂關節進行解碼可以提高三維空間中端點(手)位置的精度。
關於肌肉記憶這一塊,研究人員表示未來的工作將研究肌肉記憶是否能增強對想象的手臂運動的解碼,以及如何在運動受損的受試者中誘導肌肉記憶。
論文資訊:
Reconstruction of hand, elbow and shoulder actual and imagined trajectories in 3D space using EEG slow cortical potentials
