摘 要:
為綜合評價家庭用水器具的適用性,從節水效能、居民收入水平、支付意願、政策支援四方面建立用水器具評價指標體系。基於問卷調查獲取評價指標值,採用AHP、熵權法以及兩者組合賦權分析確定各評價指標的權重、計算分值,從而構建用水器具適用性綜合評價指標體系。最後對沙坡頭區市場主流品牌坐便器進行綜合評分,層次分析法得出評價結果相對較大,熵權法相對較小,組合賦權法介於兩者之間,相對客觀和符合實際。組合賦權法計算的綜合評價值在46.92~83.90之間,值越大產品的適用性越好,綜合評價值大於70有品牌2、品牌3和品牌1;綜合評價值在60~70之間有品牌4、品牌13、品牌5、品牌6;剩餘的其他品牌的綜合評價值均小於等於60。節水型用水器具的適用性評價是運用國家和地方標準對用水器具發揮效果的綜合評定,是對產品在使用時符合或滿足使用者需求程度的評價。節水型用水器具的適用性具有相對性和侷限性,適用性評價有助於分析和了解影響節水器具推廣的制約因素,研究制定針對性推廣政策,為推廣節水型用水器具、引導居民科學選購提供參考。
關鍵詞:
適用性評價;評價指標體系;層次分析法;熵權法;組合賦權;節水型坐便器;影響因素;
作者簡介:
汪林(1962—),女,正高階工程師,碩士,主要從事水資源綜合利用與調控、環境水文地質等研究。E-mail:[email protected];
*張立影(1997—),女,碩士研究生,主要從事水文與水資源研究。E-mail:[email protected];
基金:
國家重點研發計劃課題(2018YFC0408101);
引用:
汪林,張立影,賈玲,等.基於組合賦權的節水型用水器具適用性評價方法[J]. 水利水電技術(中英文),2021,52(11):195⁃206.
WANG Lin, ZHANG Liying, JIA Ling, etal. Combined weighting method⁃based evaluation on applicability of water⁃saving water use appliance[J]. Water Resources and Hydropower Engineering,2021,52(11):195⁃206.
0 引 言
隨著我國節水型生活用水器具研發、生產、銷售數量的逐年增加,市場上產品種類繁多、質量不一,增加了選購難度;通常購置用水器具的費用節水器具高於普通用水器具,而使用節水器具節省的水費又遠不抵購置節水器具所增加費用,因此,不少使用者特別是收入水平不高的使用者,在選購用水器具時更多傾向於價格便宜,而不考慮節水效果,影響到節水器具的使用和推廣,不利於水資源節約利用。衛生間用水約佔家庭用水的26%~40%,坐便器普及面廣、節水潛力大,尿糞排水增加了汙水處理的壓力和成本。因此,以坐便器為例開展適用性評價對節水型用水器具推廣、引導居民科學選購具有重要意義。
目前,適用性評價的概念和方法多用於農業節水技術、溫室智慧控制、農業機械等方面。適用性是指產品在使用時能成功的滿足使用者需要的程度。溫室智慧控制系統適用性是指溫室智慧控制系統能夠有效地完成控制任務,並使使用者在主觀上產生滿意感的程度。農業機械適用性是指在一定作業條件下,農業機械效能滿足農藝要求的能力,即農機作業效能相對作業條件的協調融合的程度。植保機械的適用性是指其滿足使用條件的能力,使用條件包括技術指標、經濟指標、作業條件指標等。目前對生活用水器具的研究和研發主要集中在節水效能的提高和節水量的比較,側重單一或某幾個技術指標與國家相關要求的對比,尚未開展有關適用性評價的研究。
當前,用於開展適用性評價的方法主要有層次分析(AHP)法、模糊綜合評價(FCE)法、優劣解距離(TOPSIS)法、粗糙集理論(RST)法、主成分分析(PCA)法等。權重是適用性評價中的一個重要因素,賦權方法按其主客觀性的不同分為主觀賦權法和客觀賦權法。主觀賦權主要有層次分析法(AHP)、德爾菲法、環比評分法等,是根據專家的知識和經驗進行賦權,確定的指標權重一般情況下符合常識,但存在主觀性。客觀賦權包括熵權法(EWM)、典型相關分析法、變異係數法等,是基於原始資料或樣本特徵及內在規律計算權重,該類方法不受評價者的經驗和偏好影響,評價結果更具有客觀性,適用於觀測資料較充足的條件;若觀測資料量較少或定性指標較多,可考慮選用主觀或者主客觀組合賦權法。
本文以全國四個節水型社會創新試點之一中衛市的核心區沙坡頭區為靶區,基於對沙坡頭區家庭用水器具使用狀況問卷調查,綜合考慮節水效能、居民收入水平、社會經濟發展狀況等因素,構建節水型用水器具適用性評價指標體系,透過對層次分析法、熵權法及其組合賦權分析結果的比對,提出基於層次分析法和熵權法組合賦權的適用性評價方法,統籌協調主客觀因素對指標權重的影響;以中衛市沙坡頭區主流節水型坐便器為例進行適用性綜合評定,以期引導消費者科學選購。對節水型用水器具的適用性評價有助於分析和了解影響節水器具推廣的制約因素,研究制定針對性推廣政策,對推廣節水型坐便器有重要指導意義。
1 研究方法
1.1 適用性評價方法
本次節水型用水器具適用性評價以當前中衛建材市場佔有率較高的節水型坐便器品牌為例,從節水效能、居民收入水平、支付意願、政策支援等方面,選取和構建評價指標體系,綜合評價其在當地的適用性或被關注程度。
此次評價中因定性指標較多,分別採用層次分析法、熵權法、組合賦權法進行評價和對比。方法步驟如下:一是確定評價指標,構建節水器具適用性評價指標體系,獲取原始指標值;二是進行資料無量綱化處理;三是利用層次分析法、熵權法、組合賦權法分別計算指標權重,比較方法優劣;四是計算綜合評價指標,分析評價結果。評價流程如圖1所示,計算公式如表1所列。
表1中,A為原始矩陣,aij代表第i個評價指標第j個評價物件的取值,i=1,2,…,m;j=1,2,…,n。Pij為標準化指標,max1≤j≤naijmax1≤j≤naij和min1≤j≤naijmin1≤j≤naij表示第i項指標對應樣本資料的最大值和最小值,正向指標值越大越好,負向指標值越小越好。λmax為矩陣最大特徵值,n為矩陣階數;CI一致性指標,RI為平均隨機一致性指標,CR為隨機一致性比率,當CR<0.1時,認為判斷矩陣具有一致性,反之,判斷矩陣沒有透過一致性檢驗。Ei代表第i個評價指標的資訊熵;n代表評價物件個數,WAHPiiAΗΡ,WEWMiiEWΜ,WAHP−EWMiiAΗΡ-EWΜ分別為層次分析法、熵權法、層次分析-熵權組合法計算得到的第i個指標的權重。Sij為決策矩陣指標值,即綜合指標值;W代表指標權重。
1.2 評價指標體系與資料獲取
為了解居民對節水器具的認知和購置意願、分析影響節水器具推廣的主要因素、併為探索家庭生活節水器具適用性評價方法提供樣本資訊,本次設計、組織釋出了“中衛市家庭生活節水器具推廣問卷調查”,問卷內容包括使用者基本資訊、用水計量與用水器具使用現狀、所關注的坐便器品牌和價格、選購節水器具考慮因素共四個方面26道題,收穫問卷1 837份,剔除非中衛市居民的問卷後,得到1 797份有效問卷。其中,個人基本資訊包括居住地、居住小區建成時間、性別、年齡、學歷、職業、收入水平等。用水計量與用水器具使用現狀涉及用水計量方式、用水器具執行狀態、坐便器型別及水效標識、水嘴型別等。居民關注的坐便器價格包括舊房更換和新房購置可接受的價格區間、期望的政府補貼比例、關注的坐便器品牌等。選購節水器具考慮因素涉及購買場所(或方式)、購買考慮的因素、影響推廣的主要因素、參與建立節水小區的態度等。問卷調查統計結果如表2所列。對問卷填報者基本情況統計結果如圖2所示。
為了辨識影響節水型用水器具購買行為的主要因素,將問卷調查樣本資料按水效標識等級劃分為四種情況,進行單因素方差分析,結果顯示除了性別和補貼水平(因幾乎全部選擇25%的最高補貼水平)外,其他因素對購買節水型用水器具行為均存在顯著影響(見表3)。以節水型坐便器為例,從樣本均值看,使用一級水效坐便器的使用者,普遍學歷較高、年輕化、多在政府或事業單位工作、收入水平較高。一級水效坐便器多出現在新建小區或裝修時間不長的住宅中。節水器具(一級水效和二級水效)購置多在當地建材市場,不是街邊商鋪。水價越高,使用節水器具的意願越強,這與使用者收入水平或支付能力有關。購置節水器具的支付意願(無論水效等級)新房住戶為1 500~2 000元,舊房住戶在1 000~1 500元。支付意願與收入水平有一定相關性,然而支付意願更多地反映支付者對購買產品的認知或認同程度,對於認知以外或非需要產品,即便收入高也沒有購買意願。
按照系統性、一致性、可比性、實用性、定性與定量相結合原則,在調查問卷相關因素中排除填報者的基本資訊(居住地、居住小區建成時間、性別、年齡、學歷、職業)後,構建研究區節水型坐便器適用性評價指標體系,包括10項指標(見表4),涵蓋了節水型坐便器節水效能、居民的收入水平和支付意願、相關政策支援等,力圖從節水效能好、居民可接受、政策支援三方面說明節水型器具的適用性。10項指標以定性指標為主,本次採用直接量化和間接量化相結合量化定性指標。評價指標值取值如下。
坐便器節水效能:取所關注坐便器品牌平均用水量的加權平均值,1級水效4 L、2級水效5 L、3級水效6.4 L 。用水量越少,節水效能越好。
收入水平:月收入水平5 000元以上取3分;3 000~5 000元取2分;3 000元以下取1分。收入水平越高,居民購買節水器具的能力越強。
支付意願:取所關注品牌支付意願(金額)樣本數量的加權平均值。
嚴格市場準入、加強水效標識管理、選購指導和推薦名錄、降低一級階梯生活用水定額均為定性指標,本次採用填報頻次量化。填報頻次反映人們對該政策的支援程度,數量越大關注度越高。
以符合水效要求、節水效能好、居民可承受為系統準則選取要素標準值,顯然收入水平越高、可承受能力越強、政策支援力度越大、節水器具推廣的可行性和可操作性越強,節水器具的適用性越好,均為正向指標,取最大值為標準值;而平均用水量越小(節水效能越高)、政府補貼越小,適用性越好,為負向指標,取最小值為標準值。應用式(2)和式(3)對評價指標進行無量綱化處理,結果如表4所列。
2 主要結果
2.1 層次分析法確定權重
2.1.1 構建指標層次結構
將影響節水器具使用、推廣的主要影響因素作為一個系統,對各要素進行有機組合和層次劃分,劃分為目標層、準則層和指標層。最高層是目標層,期望用水器具的適用性好(價效比較高);第二層準則層,是實現目標所必須採取的行為規範和限制措施,將符合水效要求、節水效能好、居民可承受作為準則進行規範;其下設兩級指標層,對目標進行特徵描述。一級指標四個,包括用水器具效能、收入水平、支付意願、政策支援。二級指標八個,在支付意願一級指標下劃分為舊房裝修、新房裝修兩個二級指標,在政策支援一級指標下進一步劃分為六個二級指標,如表5所列。
2.1.2 構建判斷矩陣確定權重
引入1—9比例標度法,從指標層開始,對於相同類別的指標,兩兩對比並對其重要性進行標度,構建判斷矩陣評定等級。
第一級包括用水器具效能(A1)、收入水平(A2)、支付意願(A3)、政府支援(A4)四類指標。一級指標等級越高,權重越大、影響作用越顯著。為辨析一級指標的影響,本次設定了三種情景討論。情景一:四個指標同等重要,判斷矩陣為A;情景二:四個指標的重要程度為用水器具效能=收入水平>支付意願>政策支援,判斷矩陣為A′;情景三:四個指標的重要程度為用水器具效能>收入水平>支付意願>政策支援,判斷矩陣為A″。對判斷矩陣A、A′、A″進行一致性檢驗,根據式(4)計算得到各矩陣CR值分別為0、0.05、0.06,均小於0.1,透過一致性檢驗。
第二級包括支付意願、政策支援兩個指標矩陣。支付意願矩陣B3包括舊房裝修(B31)和新房裝修(B32)兩個指標。新建小區住房相較於老舊小區舊房裝修,一方面新房對添置節水器具的期望更高,另一方面新建小區的建設年限短,環境和管道等基礎設施好,對生活質量的要求相對高,因而推廣節水器具更容易,故本次將購置節水器具的支付意願設定為新房裝修>舊房裝修。政策支援B4包括嚴格市場準入(B41)、補貼(B42)、加強水效標識管理(B43)、選購指導(B44)、降低階梯生活用水限額(B45)、提高一級階梯水價(B46)六個指標。節水器具推廣和普及須以建材市場為基礎和載體,嚴格市場準入是從源頭把好關,故將嚴格市場準入作為最重要指標,排在第一位,同時結合問卷調查結果,六個指標的重要程度排序為嚴格市場準入>補貼>加強水效標識管理>選購指導>降低一級階梯生活用水定額>提高一級階梯水價。根據式(4)計算得到判斷矩陣B3 、B4的CR值分別為0、0.03,均小於0.1,透過一致性檢驗。
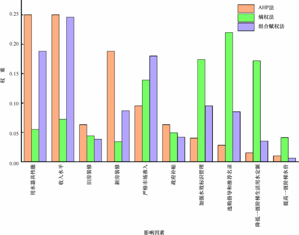
對上述矩陣進行最大特徵根計算,確定相應特徵量,從上到下依次推匯出各層級要素對於系統目標的組合權重,計算結果如表6所列。從表6可見,在一級指標三種情景下,前三位、後四位指標的排序結果完全相同,而中間三項指標舊房裝修(支付意願)、嚴格市場準入、政府補貼,矩陣A與A′、A″的指標權重排序不同。考慮到舊房裝修或更換節水器具的需求不強烈,需要透過嚴格市場準入和政府補貼加以引導和支援,故認為嚴格市場準入、加大政府補貼應稍重要於舊房裝修(支付意願)。因此,一級指標權重採用矩陣A,按節水器具效能、收入水平、支付意願、政策支援四個指標同等重要模式進行權重賦值(見表7)。權重分值從大到小依次是用水器具效能、收入水平、新房支付意願、嚴格市場準入、補貼、舊房支付意願、加強水效標識管理、選購指導、降低一級階梯生活用水限額、提高一級階梯水價。
2.2 熵權法確定權重
採用式(5)和式(6)計算評價指標的資訊熵和權重,資訊熵越小,評價物件的指標樣本離散程度越大,提供的資訊量越大,指標權重就越大。分析結果如表8所列。權重分值從大到小依次是選購指導和推薦名錄、加強水效標識管理、降低一級階梯生活用水定額、嚴格市場準入、收入水平、用水器具效能、政府補貼、舊房裝修支付意願、提高一級階梯水價、新房裝修支付意願。
與層次分析法相比,熵權法計算的用水器具效能、收入水平指標權重分值排序由並列第一位降為第6和第5位,說明指標離散程度小,這是因為表徵用水器具效能的一級、二級、三級水效坐便器平均用水量差異不大,分別為4 L、5 L、6.4 L,而居民月收入水平約90%小於5 000元,其中近一半低於3 000元。選購指導和推薦名錄、加強水效標識管理等指標權重分值排序位列第1和第2位,說明樣本指標離散程度較大,不同坐便器使用群體對政策認識差異較大,這也側面說明當地在名錄指導、水效標識管理等方面薄弱,需加強對節水器具推廣的政策支援。但將選購指導和推薦名錄、加強水效標識管理作為適用性評價的前三位重要因素,與客觀認知有較大差距。
2.3 組合賦權法確定綜合權重
層次分析法賦權主要依靠專家經驗,受主觀因素影響,熵權法基於挖掘原始資料規律和資訊量計算權重,權重結果獨立於決策者的主觀偏好和經驗,當觀測資料量較少或定性指標較多時,所得權重可能與實際重要程度不符。為使評價結果具有客觀性且符合實際情況,研究中進一步將層次分析法和熵權法結合組合賦權。
目前主客觀組合賦權計算方法主要有線性加權組合賦權和乘法合成法,計算公式分別是:
和
式中,μi、γi分別表示第i個指標的主觀權重和客觀權重;wi表示第i個指標的組合權重;α為主觀偏好係數,1-α為客觀偏好係數,0≤α≤1。線性加權組合賦權關鍵在於確定主客觀權重分配係數α,以反映主客觀賦權法的相對重要程度。部分學者直接將分配係數設為0、0.5、1等數值,分配係數缺少理論依據;部分學者以組合權重與主客觀權重偏差最小為目標函式,或以組合權重計算的評價結果與主客觀評價結果總離差最大為目標,建立最佳化模型,求解權重分配係數。乘法合成法將主客觀權重相乘後再歸一化,計算簡便、可操作性強。本文采用乘法合成法式(7)對層次分析法和熵權法權重進行組合,結果如表9所列。可見,由組合賦權法得到的指標組合權重大部分介於主觀權重和客觀權重之間,其中舊房裝修、新房裝修、嚴格市場準入、政府補貼指標的組合權重值與熵權法權重接近,說明組合權重兼顧了主觀權重和客觀權重的重要性表達,綜合專家經驗和問卷樣本資料修正指標權重,得出收入水平、節水器具效能、嚴格市場準入指標權重位於前三,排序結果與問卷調查反映的實際情況基本相符。
2.4 適用性評價結果
將表9中的組合賦權法權重值代入表1式(8),依次計算不同品牌坐便器一級、二級指標分值和綜合評價值,指標值越大表示適用性越好。
從一級指標分值看,各品牌用水器具效能(A1)指標分值相近,因為均須遵守國家三級水效標準要求。收入水平(A2)指標分值差異不大,因為受到了沙坡頭區地域的限制。支付意願(A3)指標差異性較大,其下二級指標購置節水器具的意願(以支付費用表徵)新房高於舊房,符合當地現狀實際。政策支援(A4)指標的差異性最大,在其下二級指標中,政府補貼、提高一級階梯水價指標分值差異不大,使用者大都傾向於提高補貼、不提高一級階梯水價;而嚴格市場準入、加強水效標識管理、選購指導和推薦名錄、降低一級階梯生活用水定額指標差異較大,說明使用者對這些政策支援的關注程度不一(見表10)。調查問卷統計是認識客觀事物、描述生活現象、解決問題的一種辦法,在政策支援(A4)中的6項指標的填寫頻率可能會受專業認知的影響,這種影響隨著樣本數量的增加而減小。
三種方法計算的綜合評價值如表11所列。從總體上看,評價值結果層次分析法相對大,熵權法相對小,組合賦權法介於兩者之間。組合賦權法計算的綜合評價值在46.92~83.90之間,綜合評價值越大產品的適用性越好,綜合評價值大於70有品牌2、品牌3和品牌1 ;綜合評價值在60~70之間有品牌4、品牌13、品牌5、品牌6 ;剩餘的其他品牌的綜合評價值均小於等於60。
3 討 論
對比三種方法計算的權重結果(見圖3)可見,主要影響因素權重排序差異很大。層次分析法將用水器具效能、收入水平、對新住宅的支付意願視為影響適用性的主要因素,主要是遵從專家經驗,層次分析法適用於專家對當地情況瞭解深入的地區,把握越準確、越深入,得出的權重越符合客觀實際。熵權法透過挖掘樣本資訊,得出影響坐便器適用性的主要因素是選購指導和推薦名錄、水效標識、一級階梯生活用水定額、市場準入、收入水平,與人們的主觀認知有一定的差距,熵權法適用於調查樣本的代表性好和覆蓋面寬的地區,統計樣本的代表性和覆蓋面直接影響熵權法分析結果。組合賦權法將層次分析法的主觀偏好和熵權法的樣本資訊挖掘相結合,得出收入水平是影響適用性的第一要素,這與問卷填報者收入水平90%低於5000元、50%低於3 000元影響到節水型坐便器選購的實際情況相符。節水器具效能為第二要素,主要是受研究區居民收入水平偏低的限制,使用者多傾向於選擇一般節水效能,甚至是非節水器具,因為使用節水器具節省的水費遠不抵購買節水器具增加的費用。而收入水平低、傾向於選擇一般節水效能用水器具的生活水平條件,使得嚴格市場準入、加強水效標識管理、選購指導和推薦名錄等政策引導成為提高節水器具適用性的第三、第四、第六要素。在研究區收入水平、生活用水水價雙低的現實條件下,降低一級階梯生活用水定額、提高政府補貼對節水器具推廣的作用有限。
統計樣本的代表性是所有統計分析方法的基礎,本文研究的不足主要是樣本分佈的不均勻,對於部分樣本較少的產品,因代表性不夠,會影響評價結果的客觀性,因而不斷擴大樣本空間、提高樣本對各種產品的覆蓋範圍,是提高評價精度的主要途徑。鑑於本文統計樣本情況,認為採用組合賦權得到的評價結果相對客觀和符合實際,具有參考性。
4 結論與建議
(1)節水型用水器具的適用性評價是對用水器具發揮效果的綜合評定,是運用國家和地方標準對產品在使用時符合(或滿足)使用者需求程度的評價,並非僅針對用水器具本身效能。
(2)本文基於問卷調查,聚焦節水器具效能、居民收入水平、支付意願、政策支援等四方面,在歸因和構建用水器具適用性評價指標體系和評價指標值基礎上,經三種方法對比提出基於層次分析法和熵權法組合賦權的用水器具適用性評價方法相對客觀,給出了研究區坐便器適用性的綜合排序結果。從總體上看,評價值結果層次分析法相對大,熵權法相對小,組合賦權法介於兩者之間。組合賦權法計算的綜合評價值在46.92~83.90之間,綜合評價值越大產品的適用性越好,綜合評價值大於70有品牌2、品牌3和品牌1;綜合評價值在60~70之間有品牌4、品牌13、品牌5、品牌6 ;剩餘的其他品牌的綜合評價值均小於等於60。
節水型用水器具的適用性具有相對性和侷限性,與研究區居民的收入水平和生活條件有關,與地方主管部門頒佈的居民生活用水定額和節水管理政策有關。為更客觀反映節水型用水器具現實狀態和推廣節水器具,提出如下建議:(1)採用適當的評價方法對節水型用水器具的適用性進行定期滾動性評價,結合國家公示的節水認證產品和水效產品編制節水型用水器具推薦名錄,引導消費者科學選購。(2)擴大問卷調查樣本數量和補充新樣本,提高適用性評價的置信水平,以貼近現實生活狀態和管理水平。(3)採用多種方法分析樣本資料,對比方法的優劣,以得出客觀評價結果。
水利水電技術(中英文)
水利部《水利水電技術(中英文)》雜誌是中國水利水電行業的綜合性技術期刊(月刊),為全國中文核心期刊,面向國內外公開發行。本刊以介紹我國水資源的開發、利用、治理、配置、節約和保護,以及水利水電工程的勘測、設計、施工、執行管理和科學研究等方面的技術經驗為主,同時也報道國外的先進技術。期刊主要欄目有:水文水資源、水工建築、工程施工、工程基礎、水力學、機電技術、泥沙研究、水環境與水生態、執行管理、試驗研究、工程地質、金屬結構、水利經濟、水利規劃、防汛抗旱、建設管理、新能源、城市水利、農村水利、水土保持、水庫移民、水利現代化、國際水利等。
