*僅供醫學專業人士參考
目前已經有10餘項大型RCT證實了SGLT-2抑制劑(SGLT2i)在動脈粥樣硬化性心血管疾病(ASCVD)、心力衰竭以及腎臟病患者中的獲益。並且這些獲益已在心血管疾病的一級預防和復發事件二級預防中得到證實。
儘管目前指南推薦心血管高風險(尤其是已確診ASCVD)的糖尿病患者早期使用SGLT2i。但是臨床實踐中,大多數糖尿病患者沒有明顯的心血管疾病風險。因此,在這部分龐大的患者人群中,依據什麼來指導SGLT2i應用亟待解決。
心血管生物標誌物可有效預測糖尿病患者的心血管事件風險。單獨或聯合使用這些生物標誌物可以識別哪些患者可獲得更大的絕對治療收益。既往研究證實,生物標誌物能指導治療決策,如LDL和hs-CRP指導降脂管理。
近日,JACC雜誌發表了一項CANVAS生物標誌物子研究的結果,選擇了反映心肌損傷的hs-cTnT、反映血管充血、組織炎症和纖維化的標誌物sST2、反映組織衰老和重塑的IGFBP7,探討隨訪6年期間,SGLT2i卡格列淨對這些生物標誌物的影響、與心血管和腎臟終點事件的相關性、是否可以用於預測卡格列淨的治療獲益。一起來看看吧。
研究設計
CANVAS試驗的主要終點是主要不良心血管事件(MACE),包括心血管死亡、非致死性心肌梗死和非致死性卒中。
次要終點包括全因死亡事件、心血管死亡事件、心血管死亡或心力衰竭(HF)住院組成的複合終點事件。
腎臟複合終點包括eGFR降低40%、需要腎臟替代治療(透析或移植)或腎死亡。
研究首先評估了每種生物標誌物的基線測量值與心血管和腎臟結局之間的相關性。對偏態分佈的生物標誌物水平進行進行對數轉換。並以hs-cTnT>14 ng/L、sST2>35 ng/mL和IGFBP7>96.5 ng/mL做二分類分析。
在3種關注的生物標誌物基線資料都可使用的患者中,建立了一個多標誌物風險評分,每種生物標誌物異常升高設為1分(總分範圍 0-3)。
研究結果
CANVAS試驗的4,330例受試者中,分別有3,503例(81%)、3,084例(71%)和3,577例(83%)患者的基線hs-cTnT、sST2和IGFB7數值可用。
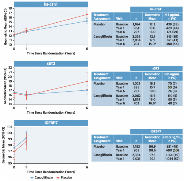
生物標誌物基線水平 & 卡格列淨對生物標誌物的影響
hs-cTnT:
安慰劑組基線幾何均值12.2 pg/mL,39%患者的hs-cTnT≥14 pg/mL。
卡格列淨治療延緩hs-cTnT升高(P=0.027)。
隨訪第6年的hs-cTnT濃度,卡格列淨組患者顯著低於安慰劑組。
sST2:
安慰劑組基線幾何均值16.3 ng/mL,6%患者的sST2>35 ng/mL。
卡格列淨治療延緩sST2升高(P=0.033)。
6年隨訪期間,安慰劑組的sST2增加,而卡格列淨組的sST2保持穩定;
隨訪第6年的sST2濃度,卡格列淨組顯著低於安慰劑組。
IGFBP7:
安慰劑組基線幾何均值96.9 ng/mL,49%的患者水平>96.5 ng/mL。
1年內安慰劑組和卡格列淨組的IGFBP7水平升高相似。
生物標誌物基線水平與心血管、腎臟終點關聯
每個生物標誌物都與心血管和腎臟終點顯著相關,不受臨床協變數的影響。
無論基線生物標誌物濃度如何,卡格列淨都能減少心衰和腎臟事件。
hs-cTnT≥14ng/L、sST2>35 ng/mL的患者在主要不良心血管事件(MACE)方面獲得了更大的相對收益(兩者的Pfor interaction≤0.05)。
IGFBP7與隨訪心衰住院風險顯著相關(HR 13.9, 95%CI 7.29-26.4)。
在基本臨床預測模型(不含生物標誌物)新增每種生物標誌物後,模型篩選能力均得到改善。加入hs-cTnT後,各結局C指數增加 + 0.01至 + 0.06不等。
加入IGFBP7後,各結局C指數增加 + 0.01至 + 0.05不等。
但基線時是否使用胰島素,並未改變IGFBP7水平與任何心血管或腎臟結局之間的相關性。
多種標誌物風險預測
在3種生物標誌物可用資料的3,040例受試者中,分別有1,102例(36%)、1,051例(35%)、819例(27%)和68例(2%)多標誌物風險評分為0、1、2和3。
多標誌物風險評分加入風險預測模型後,顯著改善了終點的區分度 + 0.04至 + 0.06不等。
校正標誌物水平後,預測卡格列淨的治療獲益
相比hs-cTnT正常水平亞組,hs-cTnT升高≥14 pg/mL的亞組卡格列淨治療MACE獲益更明顯。此外在非致死性心肌梗死事件中,也觀察到類似的互動作用。
與sST2正常<35 ng/mL的患者相比,sST2≥35 ng/mL的個體卡格列淨對MACE事件的治療獲益更大。
IGFBP7水平可能改變了卡格列淨對卒中終點事件的治療獲益(Pfor interaction= 0.03)。
多標誌物風險評分也可用於評估卡格列淨對MACE的不同獲益。
0個異常生物標誌物(HR 0.99;95% CI 0.66-1.49)、
1個異常生物標誌物(HR 1.34;95% CI 0.94-1.89)、
2個異常生物標誌物(HR 0.61;95%CI 0.45-0.82)、
3個異常生物標誌物(HR 0.46;95% CI 0.18-1.17,Pfor interaction= 0.005)
研究總結
在這項關於CANVAS試驗的生物標誌物事後分析中,反映心肌損傷、炎症/纖維化和重塑的生物標誌物資料反映瞭如下資訊:
1. CANVAS試驗中,大量看似穩定的2型糖尿病患者的迴圈生物標誌物異常,提示存在亞臨床疾病活動徵象。
2. 單獨使用和聯合使用這些生物標誌物,可預測後續臨床結局,尤其是MACE事件。
3. 儘管兩組1年內hs-cTnT和sST2的變化軌跡相似,但在6年隨訪時間內,與安慰劑組相比,卡格列淨降低生物標記物水平。
4. 多種生物標誌物異常的患者透過卡格列淨治療,儘管在心衰或者腎臟結局方面獲益相似,但生物標誌物異常似乎可以幫助預測MACE事件方面相對獲益更大的患者。
![]()
2型糖尿病患者面臨著廣泛的器官損傷和全身衰竭風險。如果在臨床事件發生之前,透過連續測量迴圈生物標誌物跟蹤疾病活動進展情況,將有助於指導臨床早期干預。
本研究發現,儘管大部分患者入組時臨床狀態似乎“穩定”,但近40%和50%的患者hs-cTnT和IGFBP7值異常,表明存在慢性心肌損傷和組織衰老/纖維化。
此外,更重要的是闡明瞭卡格列淨的作用不是將生物標誌物降低至基線測量值以下,而是透過延緩生物標誌物隨時間的升高趨勢而發揮作用。
總而言之,無臨床明顯心血管疾病的2型糖尿病患者表面看來心血管風險較低,但是無已知心血管疾病但有2種或2種以上迴圈生物標誌物異常的患者,所面臨的MACE絕對風險與已確診心血管疾病患者相似甚至更高。
透過生物標記物篩查策略,有望選出那些能夠優先從SGLT2i治療中獲益的患者,進行有效干預。
引用文獻
Stress Cardiac Biomarkers, Cardiovascular and Renal Outcomes, and Response to Canagliflozin. J Am Coll Cardiol. 2022;79(5):432-444. doi: 10.1016/j.jacc.2021.11.027
作者:李玉昆 首都醫科大學附屬北京安貞醫院
