虎年春節福利最後 1 天,福利直達>>>www.julyedu.com
    問題1:BN過程,為什麼測試和訓練不一樣?
對於BN,在訓練時,是對每一批的訓練資料進行歸一化,也即用每一批資料的均值和方差。
而在測試時,比如進行一個樣本的預測,就並沒有batch的概念,因此,這個時候用的均值和方差是全量訓練資料的均值和方差,這個可以透過移動平均法求得。
對於BN,當一個模型訓練完成之後,它的所有引數都確定了,包括均值和方差,gamma和bata。
    問題2:Leeetcode:160相交連結串列
方法一:暴力解法
對於A中的每一個結點,我們都遍歷一次連結串列B查詢是否存在重複結點,第一個查詢到的即第一個公共結點。
時間複雜度:O(n^2)
空間複雜度:O(1)
無法透過,會超時。
方法二:
對暴力解法的一個最佳化方案是:先將其中一個連結串列存到雜湊表中,此時再遍歷另外一個連結串列查詢重複結點只需 O(n) 時間。
時間複雜度:O(n)
空間複雜度:O(n)
方法三:走過彼此的路
利用兩連結串列長度和相等的性質來使得兩個遍歷指標同步。
具體做法是:讓兩指標同時開始遍歷,遍歷到結尾的時候,跳到對方的頭指標,如果有公共結點,則,會同時到達相遇的地方。
程式碼如下:
時間複雜度:O(n)
空間複雜度:O(1)
    問題3:機率題、兩個人輪流拋硬幣,拋到正面獲勝,反面給對方。先拋的人勝率是多少?
答案:先拋的人勝率是 2/3
假如,A先,B後
    問題4:重排連結串列(lc143)
利用線性表儲存該連結串列,然後利用線性表可以下標訪問的特點,直接按順序訪問指定元素,重建該連結串列即可。
程式碼如下:
時間複雜度:O(N)
空間複雜度:O(N)
N 是連結串列中的節點數。
    問題5:爬樓梯(lc70)
思路:動態規劃
程式碼如下:
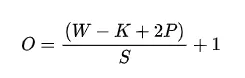
    問題6、CNN的卷積公式
卷積層計算公式如下:
其中,W為輸入大小,K為卷積核大小,P為 padding大小,S為步幅。
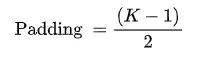
如果,想保持卷積前後的特徵圖大小相同,通常會設定padding為:
虎年春節福利最後 1 天,福利直達>>> www.julyedu.com











 
			 
			 
			 
			 
			 
			 
			 
			 
			 
			 
			 
			 
			 
			 
			 
			 
			 
			