複合材料力學 致力於複合材料力學與模擬分析領域知識創作與分享! 589篇原創內容 -->
公眾號
混雜結構中不同材料的連線需要特別注意,因為接頭的失效會導致工程結構的完全崩潰。傳統的概念中如螺釘連線或鉚釘接頭,通常會在複合材料中引起預損傷,而額外的粘合劑的使用又增加了製造過程的複雜性。聯鎖非破壞性方法是一種合適的替代方法,其中連線是在混雜步驟中建立的。所有提到的方法都揭示了失效通常會從承載介面處產生,而其中一個原因就是介面強度相對於連線材料的內聚力強度更低。
微觀介面粗糙度對有效介面強度有顯著影響,將介面粗糙度考慮進來可以提高金屬-複合材料接頭的力學效能。例如可以透過對金屬表面進行鐳射預處理或噴砂來實現增加金屬的粗糙度。然而,預處理的選擇取決於所需要達到的效果,如根據想要形成的隨機分佈的輪廓或固定的表面形貌來選擇預處理方式。這使聚合物能夠在製造過程中填充間隙並形成微觀接頭。
在設計過程中往往很難透過實驗獲得對損傷現象的理解,然而這種理解往往又是很有價值的。於是,在這種情況下研究者更多的會選擇使用建模和模擬技術來研究,藉助建模和模擬技術能夠識別單個結構-屬性關係。內聚力模型是描述介面失效的一種常見建模方法。在這種情況下,可以考慮增加粗糙度對介面強度的影響。相比之下,在斷裂力學概念中也存在一些模型可以顯式地解析區域性介面。這使得根據介面粗糙度來研究粘合劑和內聚力失效的範圍成為可能。對於類似材料和不同的材料,還提出了一種內聚力模型的組合用於研究純粘合劑的失效。
近日,德國固體力學研究所的Franz Hirsch(第一作者),德累斯頓計算材料科學中心的Markus Kastner(通訊作者)及其團隊,在《Composites Science and Technology》上發表了題為“Modeling and simulation of interface failure in metal-composite hybrids”的文章,作者提出了一種分析金屬-複合材料混雜介面失效的本構模型,該本構模型考慮了局部介面的粘接失效和整體材料的內聚力失效。採用內聚力模型表示介面失效,而使用彈性塑性損傷模型來描述聚合物的損傷行為。同時,採用了梯度增強的方式,避免了眾所周知的區域性連續損傷模型對網格的依賴性。最後,透過數值研究,研究了隨機粗糙介面的區域性介面強度和幾何形狀對其宏觀性質的影響。
圖 1 金屬和纖維增強聚合物之間隨機粗糙介面的微切片
圖 2 介面區域的多尺度方案
圖 3 (a)在混雜邊界條件下的變形RVE構型,(b)h(x)的特徵測量
圖 4 應用超彈性-塑性梯度損傷模型得到的資料與從參考文獻中提取的環氧樹脂的實驗試驗資料的對比
圖 5 (a)原始和平滑版本中的損傷演化定律,(b)使用不同κc值的損傷演化
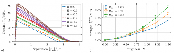
圖 6 拉伸載荷下的RVE均質化結果( t0n = 15 MPa ,GCn = 20 J m−2)
圖 7 基體損傷的輪廓圖( t0n = 15 MPa ,GCn = 20 J m−2,Rcz = 1.0)
圖 8 RVE均質化結果( t0n = 40 MPa ,GCn = 53 J m−2)
圖 9 基體損傷的輪廓圖( t0n = 40 MPa ,GCn = 53 J m−2,Rcz = 1.0)
圖 10 基體損傷的輪廓圖(R=1.2)
研究表明,均質介面效能隨著粗糙度的增加而提升。此外,混雜介面的主要失效機理高度依賴於區域性介面強度。使用低介面強度,純粘合失效形成獨立於介面粗糙度。只有當局部介面強度增加到接近剩餘材料強度的值時,才可以觀察到從純粘合失效到內聚力失效的轉變。在這種情況下,內聚力失效必然的,因為它代表了一個高效能的介面。為了獲得具有高強度的介面,可以透過預處理,如噴砂、鐳射或化學預處理,以增加區域性介面強度和更高的粗糙度。
原始文獻:Franz Hirsch , Erik Natkowski , Markus Kastner.Modeling and simulation of interface failure in metal-composite hybrids[J].Composites Science and Technology,2021,214:108965.
