上帝曾說:“Jesus fasted forty days and forty nights; and afterward he hungered.”
(聖經St Matthew 4:2)
不知道你們是否有想過,為什麼耶穌基督可以禁食四十天四十夜?又或者,為什麼一些隱居
深山的修道高人能夠連續閉關幾個月不進食?
或許你會說,他們是神人?又或許,這一切的背後,還存在著更深刻的科學理論?
1960年代的Oliver Owen博士曾在《IUBMB國際生物化學與分子生物學聯盟》中撰寫過自己參與研究人體代謝學的經歷,其中詳細了揭示了人體大腦可以在長時間飢餓時巧妙地利用另一種能量物質來維持生命1。
1967年,科學家們在享有國際名譽的《臨床調查雜誌JCI》(影響因子=14.8)期刊上首次發現,人的大腦在飢餓狀態下會充分利用一種小分子能量物質——β-羥基丁酸(又名貝塔酸/3HB/BHBA),給飢餓的大腦提供能量。3HB也被人們稱之為一種脂肪代謝的產物,酮體2。
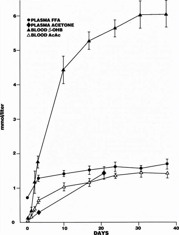
來自哈佛大學醫學院George F Cahill副教授的團隊在三名肥胖症志願者身上進行了長達40天的飢餓療法,研究人員驚奇地發現,三名肥胖患者的大腦在長時間的飢餓下仍可以維持健康生命特徵,並且有三分之二的能量來源均為3HB。反之,患者大腦對葡萄糖的利用大量減少。
整個試驗過程中患者僅僅服用水、維生素及鹽片劑。研究人員每日會對患者的體重、血壓、體溫、心率等進行記錄。同時,研究人員還會透過患者的血液和尿液樣本進行對應的代謝產物及排洩物分析。其中,患者血液中的3HB水平增長十分顯著。
圖注:左-正常大腦的能量來源幾乎100%以葡萄糖為主;
右-飢餓大腦的能量來源有一半以上來自β-羥基丁酸。
圖注:40天飢餓試驗中患者的血液代謝物水平,其中3HB、乙醯乙酸和丙酮均為酮體,但主要代謝為能量的物質為3HB,並且含量佔大約70%。
▲-3HB;●-遊離脂肪酸;△-乙醯乙酸;◆-丙酮
這一驚人的發現重新點燃了科學家們對於深究人體大腦可利用的能源的興趣,尤其是針對除葡萄糖和蛋白之外的物質。
在過去的認知裡:一個平均體重75kg左右的成年人(假設脂肪組織中的脂肪佔15kg,餘下60kg瘦體重中的蛋白質量佔12kg)在去世之前幾乎全部的脂肪都是可以被燃燒利用的,卻只能將大概一半的蛋白轉化為能量(葡萄糖)。也就是說,在飢餓狀態下,這個人僅能夠將大約6kg蛋白轉化為3.4kg葡萄糖。如果大腦每天需要代謝100-145g葡萄糖來維持生命,那麼這個人單靠葡萄糖供能只能活23-34天1。
而現如今,研究人員發現幾名肥胖患者的大腦在飢餓狀態下有三分之二的能量來源都是3HB;經合理推測,在能夠利用3HB的條件下,或許可以使一個成年人的大腦在飢餓狀態下存活至60天,甚至90天!
雖然我們的大腦很需要葡萄糖代謝所提供的能量,但其實它不僅僅喜歡糖,而更喜歡酮!總而言之,β-羥基丁酸或可替代葡萄糖讓我們擁有一個更加健康活躍的大腦!
參考文獻:
1 Owen O E., Mini-Series: Paths to Discovery – Ketone Bodies as a Fuel for the Brain during Starvation. IUBMB 2005, 33(4): 246-251.
2 Owen O E. et al., Brain Metabolism during Fasting. J Clin Invest. 1967, 46(10): 1589-1595.
