- 沃納-海森堡
很多人認為,海森堡測不準原理(不確定性原理)是關於觀察者透過光子與電子相互作用,從而影響光子的動量的理論。
觀察者必須影響電子的動量(或某些量子狀態)才能觀察到它,這可能是真的,但這並不是不確定性原理的根本原因!讓我們先定義一下海森堡的不確定性原理。
在量子力學中,測不準原理(也被稱為海森堡測不準原理)是一種數學不等式,對粒子的某些物理量的值(如位置和動量)可以從初始條件預測的準確性提出一個基本的限制。——-維基百科
一個常見的表述方式是,在任何給定的時間點,你無法同時準確測量一個粒子的動量和位置。這種不確定性並不取決於測量裝置或環境。不管我們做得多好,我們都不可能知道這兩個量的確切值。
- 首先,存在著多種不確定性原理,其中許多在宏觀世界中體現。事實上,你無時無刻不在遇到這些,只是你沒有意識到它們。
- 其次,海森堡的不確定性原理背後的根本原因與量子物理學無關,而是與數學有關。
所有這些原理背後的真正原因是某個數學事實,所有的波(共軛變數)都必須服從,包括物質(我們稍後會討論這個問題)。雷達技術、能量和光也有必須遵守的 "不確定性原則",正如我們很快會看到的,這一切本質上與物理學無關。
波
最終,這一切都歸結為非常簡單的事情。所有型別的訊號或函式,無論多麼複雜,實際上都是正弦波的疊加。這是一種波長和振幅都很明確的純波。
疊加只是意味著所有的波相互作用,然後所有的波的總和(稱為干涉)就是構成更復雜訊號的疊加。
也就是說,我們可以把一個函式分解成構成它的更簡單的組成成分(純波)。這幾乎就是傅立葉級數和傅立葉變換所做的事情,只不過這個過程不僅僅是對週期性函式而言的。
這種效果在音樂中是顯而易見的,例如吉他聲中帶著泛音,與主波(被撥動的弦的頻率)相互干擾。因此,吉他的聲音(和任何其他樂器)是由不同頻率和振幅的純正弦波組成的。
當我們描述這樣一個複雜的訊號時,我們可以選擇兩種相等的方式來表示它。我們可以選擇用一個時間軸來描述所有產生干涉圖樣的波是如何同時相互作用的,或者我們可以選擇用構成它的純波的頻率來描述它。這兩種方式被稱為雙重關係。如果有一個數學工具來描述時間上的訊號和頻率上的訊號之間的這種雙重關係,那會非常有幫助。確實有這樣的數學工具。
傅立葉變換
我上面提到的描述這種雙重關係的工具,叫做傅立葉變換。毫無疑問,它是所有數學中最強大和最常用的工具之一。
首先,我們需要了解一些關於這種變換的一般情況。傅立葉變換是一個積分變換(也就是一個運算元),它接收一個函式並返回另一個函式。
作為一個函式空間的運算元,我們可以把它看作是一個純數學的東西,然而,它有一個很好的物理解釋,可以在兩種情況下使用。我們將主要從物理學的角度來考慮它。但當然,它本質上是純數學的。
在下文中,我們將始終假設積分是收斂的。
假設:
是一個可積分函式。f的傅立葉變換是由以下積分給出的:
如果f表示聲波作為時間的函式,那麼傅立葉變換表示構成聲波的頻率,因此f是頻率的函式。
下面是一個GIF,顯示了一個聲波(本例中是一個單位脈衝)是如何由許多純正弦波組成的,從而產生了sinc函式,即sin(πs)/πs。
理解一個訊號總是有這兩種等價的表達方式是非常重要的。它們是等價的,因為給定其中一個,另一個是唯一確定的。唯一的傅立葉逆變換是:
傅立葉變換的特性
在提到傅立葉變換時,我們不能不說明和證明它的一些驚人的特性。首先是關於平移的。假設h(t)=f(t+a)。透過變數的改變,我們有:
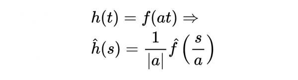
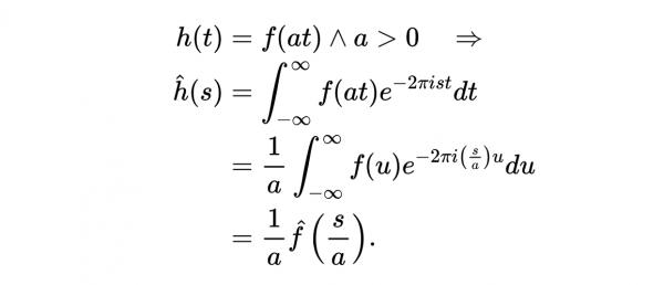
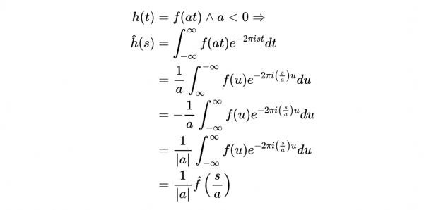
因此,時間的變化(訊號的延遲),對應於頻率的相移。那麼縮放呢..?假設h(t)=f(at)。我們把這種情況分成a<0和a>0。
注意,所用的變數變化是u = at。讓我們看看當a<0時的情況。
數值只在函式外的a上取。所有這些都可以用一個表示式來說明:
它的物理解釋是什麼?
傅立葉變換的縮放特性意味著,如果我們在時間上壓縮訊號,那麼就相當於在頻率上擴大訊號(水平方向),反之亦然。
這一特性是非常重要的。
透過量綱分析,我們可以進一步理解。時間以秒為單位,單位是s,頻率以秒的倒數為單位,單位是1/s。如果把時間延展,頻率就會減少,反之亦然。
如果你想知道頻率的輸出單位是從哪裡來的,那麼這很好理解。傅立葉變換中的s最終決定了構成訊號的純波的週期,你可以透過使用尤拉公式將復指數擴充套件為正弦和餘弦,或者將傅立葉變換看作一組連續的傅立葉係數來感受一下。
讀者可能已經知道一個更實用的特性是,傅立葉變換將導數轉換為常數的乘積。這意味著一個空間的微分方程對應於另一個空間的代數方程。
波函式和海森堡的不確定性原理
量子物理學家描述一個量子系統(例如一個粒子)的方式是透過可能的量子狀態。對此進行建模的函式家族被稱為波函式。比方說,位置的波函式的大小的平方給出了與粒子有關的機率分佈。
因此,我們可以把波函式解釋為產生一個機率波,告訴我們一個粒子在一個特定空間區域的機率。因此,描述粒子位置的波函式可以被看作是空間的波,而不是時間的波。
當我們對這個位置波(位置的波函式)進行傅立葉變換時,會得到一個空間頻率波,而這個空間頻率波就是粒子的動量的波函式。
如果你想一想,這其實並不令人驚訝,因為如果你認為光是一個波包或物質波,那麼動量是由光的頻率給出的。
特別是,我們有γ=h/p和f=E/h來顯示這種關係。這裡γ是波長,h是普朗克常數,p是動量,f是頻率,E是能量。
我們越是確定一個給定的粒子是在一個小範圍內,位置的波函式越侷限(水平壓縮)。由於動量的波函式是位置波函式的傅立葉變換,動量波函式將被水平拉長,這意味著動量將有更大的不確定性。這是由於上述傅立葉變換的縮放特性造成的。
這就是海森堡的不確定性原理。 它只是傅立葉變換的作用。
它指出:
其中h是普朗克常數,Δx和Δp分別是位置和動量的不確定性。
廣義的不確定性
當一個函式g是函式f的傅立葉變換時,我們稱f和g為共軛變數或共軛對。對於任何一對共軛函式,都有一個不確定性原理。
海森堡的不確定性原理只是共軛變數這一更廣泛和更深刻現象的一個特例。
為什麼共軛變數的不確定性原理應該成立(從數學的角度來看)?原因是這樣的:簡訊號,如突發的聲音脈衝,需要許多波來保持振幅在某個間隔之外為零。相反地,當純波貫穿整個空間時,訊號越像正弦,描述訊號所需的頻率就越少。
- 當聽到一陣短促的聲音時,你將很難確定它所包含的頻率,但如果你聽到一些純訊號長時間響起,你就能夠將不同的頻率區分開來。這也是不確定性原理。
- 同樣,我們對一個雷達目標的距離知道得越多,我們就越不能知道準確地接近或遠離速度,反之亦然。這就是多普勒和範圍的不確定性。
另一對共軛變數是能量和時間。因此,對於能量和時間的同時測量,有另一種形式的海森堡不確定性原理。描述這種關係的不等式類似於經典的不確定性原理:
還有許多其他共軛變數,因此也有許多不確定性原理,但它們都有一個共同點,那就是其基本規律本身不是物理性的,而是數學性的。 波的數學只是限制了我們能從任何量子系統中檢索到的資訊量。
海森堡不確定性原理的影響是真實的
如果你拿一個鐳射器指向一個小狹縫,使部分光線被阻擋,但部分光線透過,那麼就會出現一個驚人的現象。
光線在狹縫後面的牆上散開,如果讓狹縫變窄,那麼散開的範圍就會變大。這似乎違背了直覺。這是因為海森堡的不確定性原理。當我們使狹縫越來越窄時,我們迫使位置波(波函式)越來越區域性化(狹窄),根據不確定性原理,動量波函式變得越來越寬,使越來越多的方向成為可能。
由於動量是一個有方向的向量,這意味著光子被允許在狹縫的另一側移動的角度變得越來越大,在牆上形成了美麗的散射。
不確定性也可以解釋為什麼太陽會發光,甚至解釋為什麼霍金輻射的時空現象會縮小黑洞。不確定性是一種純粹的數學現象,但由於量子系統實現了其中的一些數學理論,不確定性也是一種物理原理。
想了解更多精彩內容,快來關注老胡說科學
