連續性方程在物理學中是至關重要的,因為它告訴我們什麼物理量在什麼條件下必須守恆。就電磁學而言,必須守恆的最基本的量是電荷q,即流經空間某一區域(如電流)的總電荷量。連續性方程為:
- 方程1:微分形式的電荷的連續性方程
其中
是電流密度J的散度(是流過某個橫截面積的電流量)和
是電荷密度在空間各點相對於時間的變化率。這是通量守恆的直接結果。我們也可以在積分的背景下看這個表示式:在方程的兩邊對體積進行積分,可以得到:
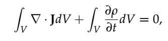
利用導數和積分是線性運算子的事實,我們可以從第二項的積分中取出時間導數。此外,透過對第一項應用散度定理,我們可以將方程改寫為:
- 方程2:積分形式的電荷的連續性方程
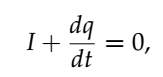
仔細觀察這個表示式,我們發現第二項的積分只是封閉表面S內的總電荷,即q,而第一項的積分只是電流I,結果是:
- 方程3:電荷守恆
這就完成了證明。方程1中的連續性方程在電磁學中極為重要,特別是電磁波傳播和輻射。
