控制材料在晶體和玻璃相之間的狀態,已經促進了許多現實世界的應用。然而,結晶和玻璃化動力學的設計規則,仍然缺乏預測能力。
在此,來自德國亞琛工業大學的Matthias Wuttig等研究者,利用泵浦探針鐳射裝置和量熱法確定了相變材料中這些過程的化學計量學趨勢,即沿著GeTe-GeSe、GeTe-SnTe和GeTe-Sb2Te3偽二元線。相關論文以題為“The potential of chemical bonding to design crystallization and vitrification kinetics”發表在Nature Communications上。
論文連結:
https://www.nature.com/articles/s41467-021-25258-3
過冷的液體冷卻後,要麼結晶,要麼形成玻璃態。結晶和玻璃化,都是具有深遠技術意義的課題,並提供了令人興奮的科學挑戰。這些工藝具有重要的經濟意義,例如:生產聚合物塑膠、為(光電)電子產品生長單晶、使鋼硬化以及使巧克力具有合適的稠度。因此,設計結晶和玻璃化動力學是非常必要的。近二十年來,隨著大塊金屬非晶和採用玻璃-晶體轉變的相變材料的出現,非晶形成能力受到了廣泛的關注。從理論上講,玻璃化作用和結晶作用是相互獨立的,但最近的研究揭示了這兩種現象之間的基本聯絡。
實現定製化結晶和玻璃化動力學的一個可能的方法,是對結晶和玻璃化動力學如何依賴於組成原子之間的化學結合,有基本的瞭解。有趣的是,離子共價系統(如SiO2)和金屬系統(如單質金屬和金屬合金黃銅和青銅)的玻璃化效果,存在顯著差異。雖然SiO2是一種很好的玻璃成型劑,但金屬的結晶速度非常快,因此,製造金屬玻璃非常具有挑戰性。直到最近,才達到了用金屬元素製作金屬玻璃所需的巨大冷卻速度。
金屬和共價鍵系在結晶和玻璃化作用方面的差異,一定與所涉及原子之間相互作用的差異密切相關。材料按其有序的主要驅動力可分為兩類:方向鍵主導系統和熵主導系統。金屬可分為後一類,因為原子堆積熵在結構有序中起著重要的作用。與此相反,共價鍵合材料則屬於前者。有趣的是,在金屬鍵中,電子離域是導致能量最小化的機制,而在共價鍵中,相鄰原子之間的電子定位使能量最小化。
近年來,相變材料,被認為是一類晶體狀態具有不同於金屬和共價鍵型別的鍵合機制的材料。這裡有一個有趣的問題:相變材料的結晶是否與利用共價鍵或金屬鍵的固體結晶不同。這個問題不僅具有學術意義,而且與應用有關。像GeTe或Ge2Sb2Te5這樣的相變材料,其特徵是其非晶態和晶態之間的光學和電學性質的顯著差異。它們在兩種狀態之間快速切換的能力,可應用於從光學到電子資料儲存、神經形態計算和有源光子器件等多個應用領域。因此,結晶和玻璃化動力學的設計為提高其應用潛力提供了重要的機會。這一目標激發了許多研究活動,以解開PCMs中快速結晶的起源。以往的研究,強調了非晶(玻璃)相中四重環的重要性,並闡明瞭降低隨機性對晶體成核的作用。
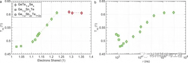
此文中,研究者採用了一種不同的方法,以探索了化學鍵的系統變化對結晶動力學的影響。為了實現這一點,研究者分析了一種原型相變材料GeTe的快速結晶,並分別與GeSe、SnTe和Sb2Te3合金。GeSe的共價明顯高於GeTe,而SnTe的特徵是更大的電荷轉移。這三種物質體系都具有很好的混相。它們的特徵是在它們的晶體相中有八面體狀的原子排列,儘管有不同程度的扭曲,這是p鍵化合物的特徵。因此,研究者避免了GeTe與四面體、sp3-鍵結半導體的混合。研究者發現,結晶速度沿著兩種基本鍵型別,金屬鍵和共價鍵的線連線區域有明顯的化學計量學依賴關係。增加共價降低了六個數量級的結晶,並促進了玻璃化。化學計量比的依賴性與材料的性質有關,如晶體相的光學性質和鍵指示符,相鄰原子間共有的電子數。量子化學圖解釋了這些趨勢,併為設計結晶動力學提供了藍圖。
圖1 不同硫屬化合物的結晶速度。
圖2 最小結晶時間τ。
圖3 玻璃化相變。
圖4 動力學隨鍵指標的變化。
綜上所述,最後,擴充套件化學鍵量詞(ES和ET)的使用,以描述其他類別材料的結晶和玻璃化動力學應該是有益的。四面體配位、共價體系和金屬是否也有類似的趨勢,即能否根據共享和轉移電子數量的定量資料預測它們的玻璃化和結晶行為?如果這個目標能夠實現,這將為製造玻璃和晶體的藝術提供一種新的科學視角。(文:水生)
本文來自微信公眾號“材料科學與工程”。歡迎轉載請聯絡,未經許可謝絕轉載至其他網站。
