HIV感染後很快滲透到中樞神經系統(CNS),啟用膠質細胞,並引發外圍單核細胞/巨噬細胞的浸潤。這些細胞釋放病毒蛋白,產生炎症因子,導致明顯的炎症,使免疫啟用和抑制,血腦屏障破壞,所有這些因素都將導致神經元損傷,甚至凋亡。聯合抗逆轉錄病毒治療(cART)系統地抑制病毒複製,並部分恢復免疫功能,但不能消除大腦中的病毒蛋白,這與轉基因動物模型中顯示的少突膠質細胞數量減少、樹突自旋丟失和突觸蛋白中斷有關。此外,藥物對腦完整性的醫源性影響也值得關注。HIV相關腦損傷的神經發病機制仍有待闡明。基於腦MRI的腦容量分析有助於檢測大腦形態學改變,推測與神經的發生、髓鞘形成、神經膠質增生、血管生成、樹突棘大小、數量及密度等有可能闡明艾滋病病毒導致的腦損傷的發病機制。
研究表明,非人靈長類動物感染猴免疫缺陷病毒(SIV)導致CD4+T細胞衰竭和系統性免疫缺陷,其發病機制和病理過程與臨床上HIV感染者相似,已被廣泛用於探索神經發病機制和治療策略。其中,SIVmac239感染恆河猴與HIV-1感染人類發病機制密切,可作為神經HIV感染的一個符合條件的模型。在這項縱向研究中,旨在繪製SIV感染過程中大腦結構變化的自然過程和cART的影響,並探索腦容量變化與血液、腦脊液(CSF)生物標誌物的關係。以期闡明HIV相關腦認知損傷的機制和臨床前期的預警指標體系。
論文 ID:
題目: Longitudinal trajectories of brain volume in combined antiretroviral therapy treated and untreated simian immunodeficiency virus-infected rhesus macaques
IF:
發表時間:2021年
責任通訊作者單位:首都醫科大學附屬北京佑安醫院
DOI: 10.1097/QAD.0000000000003055
主要內容:
實驗室資料分別在基線(接種前)、感染後1周、2、5、8、12、24、36和48個wpi採集。這些時間點是考慮到感染1周後在中樞神經系統中可檢測到的病毒和生理狀況而設定的。如前所述,透過逆轉錄PCR (RT-PCR)檢測SIV RNA水平(TRIzol提取),檢測血漿和腦脊液中的病毒載量。採用流式細胞術分析外周血CD4+ T細胞和CD8+ T細胞計數。
![]()
體重、病毒載量、免疫標記物的縱向變化。三組患者的病毒載量、CD4+ T細胞計數和CD4+/CD8+比值軌跡年齡和體重在基線時的差異無統計學意義(年齡,P = 0.594;重量,P = 0.509)。各組間體重(P<0.001)、血漿病毒載量(P<0.001)、腦脊液病毒載量(P<0.001)、外周血CD4+ T細胞計數(P<0.001)、CD4+/ CD8+比值(P<0.001)存在顯著的組間相互作用時間,支援三組間的軌跡日益分化。
![]()
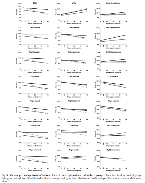
興趣區域的腦容量隨時間而變化在所有21個ROIs中,組間相互作用對體積%的影響時間顯著(均P<0.001),表明各組間所有ROIs的體積%軌跡不同。總體而言,感染SIV的恆河猴顯示出比健康對照組更小的灰質,GMV下降更快。與健康對照組和SIV+cART+組相比,SIV+cART-組呈現更陡峭的負斜率趨勢線。
![]()
不同時間點的組間比較表明,健康對照組與SIV感染恆河猴的腦容量差異早在12wpi就可以檢測到,包括總灰質、總白質、側腦室體積、右尾狀核、左殼核、雙側海馬、雙側額葉、雙側顳葉,左島葉,右小腦。隨著感染的持續和病程的進展,在48 wpi時,SIV+cART-恆河猴尾狀核、硬核、海馬、額葉、頂葉、顳葉灰質體積變小。與健康對照組相比而接受CART的恆河猴只有左側海馬、右側尾狀核和左側頂葉。與健康對照組相比,雙側顳側腦灰質體積存在差異。
![]()
灰質體積與病毒載量及全身免疫狀態相關。在SIV+CART-組中,血漿中病毒載量主要與皮層下核簇體積相關,包括雙側殼核、雙側尾狀核、左隱窩和右海馬。此外,在皮質皮層(包括左顳下回/上回,小腦V葉)的少數簇的體積。前四邊形,單瓣,左上極小腦回和左角腦回)也與血漿中的病毒載量相關。
![]()
總之,SIVmac239感染恆河猴可作為研究HIV誘導腦改變的有效模型。發現SIV感染可能引起全域性性腦萎縮,cART可有效緩解腦損傷,甚至逆轉。顯示大腦皮層受病毒載量和免疫水平的影響,病毒載量對皮層下核(特別是尾狀核和殼核)的影響較大。揭示了系統免疫功能與GMV密切的相關。
責任作者學術簡介:
李宏軍 醫學博士,主任醫師,教授/博士生導師/全國傳承專案導師;國家感染疾病臨床醫學研究中心特聘教授,首席醫學影像專家,享受國務院特殊津貼專家,國家突出貢獻專家。北京市首批十百千衛生人才、北京市首批215高層次衛生人才學科帶頭人。長期從事臨床醫學影像診療工作30餘年,專注於傳染病放射學的臨床總結和科研工作30餘年。遵循“國際視野、患者需求、系統思考、整體推進”的學科建設理念和“醫療技術規範化、技術裝置現代化、醫工結合資訊化、技術隊伍專業化”的國際化學科建設思想。聯合全國著名醫學影像專家開啟了傳染病影像學與病原、病理機制的系統理論體系與技術研究,創新實踐、開創了全球艾滋病影像學、傳染病影像學、感染與炎症放射學、感染炎症相關腫瘤放射學等的系統創新理論體系和教材、規範、指南、標準、學科體系為核心的現代醫學影像資訊學科模式。全球率先建成了現代傳染病影像資訊學的國際化創新整合學科,被譽為傳染病影像學及創新學科體系開創者和奠基者。推動了國際傳染病防控診療技術的發展。
